Matte och fysikprovet
Hej!
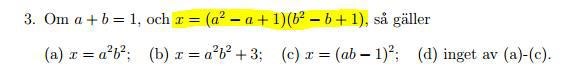
Behöver hjälp med följande uppgift:

Jag testade först att ersätta med b, och med a i den gulmarkerade ekvationen. Då fick jag . Sen försökte jag jämföra detta med alternativen, och tyckte då att jag borde kunna utesluta alternativ a) och b). Men har ingen bra strategi för att kunna avgöra om c) gäller. Utvecklade c) till och testade att sätta för att se om c) stämmer, men det verkar svårt att lösa den ekvationen. Någon som har nåt tips?
[borttaget, läste helt fel]
Du kan sätta in några enkla värden på a och b som satsifierar a+b=1 och beräkna x. Om det värdet inte stämmer med a^2b^2 kan du avfärda det alternativet etc. Med a=1 och b=0 blir x=1 och alternativen (a) och (b) kan avfärdas, men (c) råkar stämma. Det är alltså värt att sätta in b=1-a i alternativ (c) och se vad det blir.
Enklast är väl om man sätter in i . Det ger att
EDIT: För övrigt så är du faktiskt på helt rätt spår även för att utesluta c). Du har ju att
Men det gäller ju inte eftersom du har termen som är överflödig. d) måste vara rätt svarsalternativ.
Lirim.K skrev :Enklast är väl om man sätter in 1=a+b i x. Det ger att
a2-a+a+bb2-b+a+b=a2+bb2+a.
EDIT: För övrigt så är du faktiskt på helt rätt spår även för att utesluta c). Du har ju att
-2ab+1=(ab-1)2=a2b2-2ab+1
Men det gäller ju inte eftersom du har termen a2b2 som är överflödig. d) måste vara rätt svarsalternativ.
Okej, hängde inte riktigt med på det sista du skrev. Hur avgjorde du att c) inte gäller?
Nej, c gäller!
Lirim.K skrev :Enklast är väl om man sätter in i . Det ger att
Om man sedan multiplicerar ihop parenteserna, ser man att man inte får någon konstantterm. Alltså kan inte c stämma - den ger ju konstanttermen 1 när man räknar ut den.
Du tänker fel. Vi vet ju att a+b=1.
Ah, det glömde jag!
Jag håller med Henrik.
Sätt b=-a+1 och sätt in i båda ekvationerna (den i frågan och den i c-alternativet så syns det att c stämmer. Jag vet tyvärr inget snabbare sätt men det funkar.
Det fungerar att göra som ni säger, men det tar lite för mycket tid att pröva den insättningen på alla svarsalternativ för att se vilken som matchar. En metod är som följer. Substituera direkt in , det ger
Eftersom så får man att
I HL kan man nu addera talet , (alltså med noll), vilket ger
Det rödmarkerade blir på grund av villkoret i uppgiftsformuleringen. Kvar har vi
Ignorera min första post, tittade på fel uttryck.
Det är bara alternativ c man behöver behandla. (Se mitt första inlägg.)