1
svar
173
visningar
Keyser Söze behöver inte mer hjälp
Matte specialisering asymptoter
God kväll. Jag behöver hjälp med en uppgift i matte specialilisering på gymnasiet (som verkar vara på universitetsnivå?) angående asymptoter.
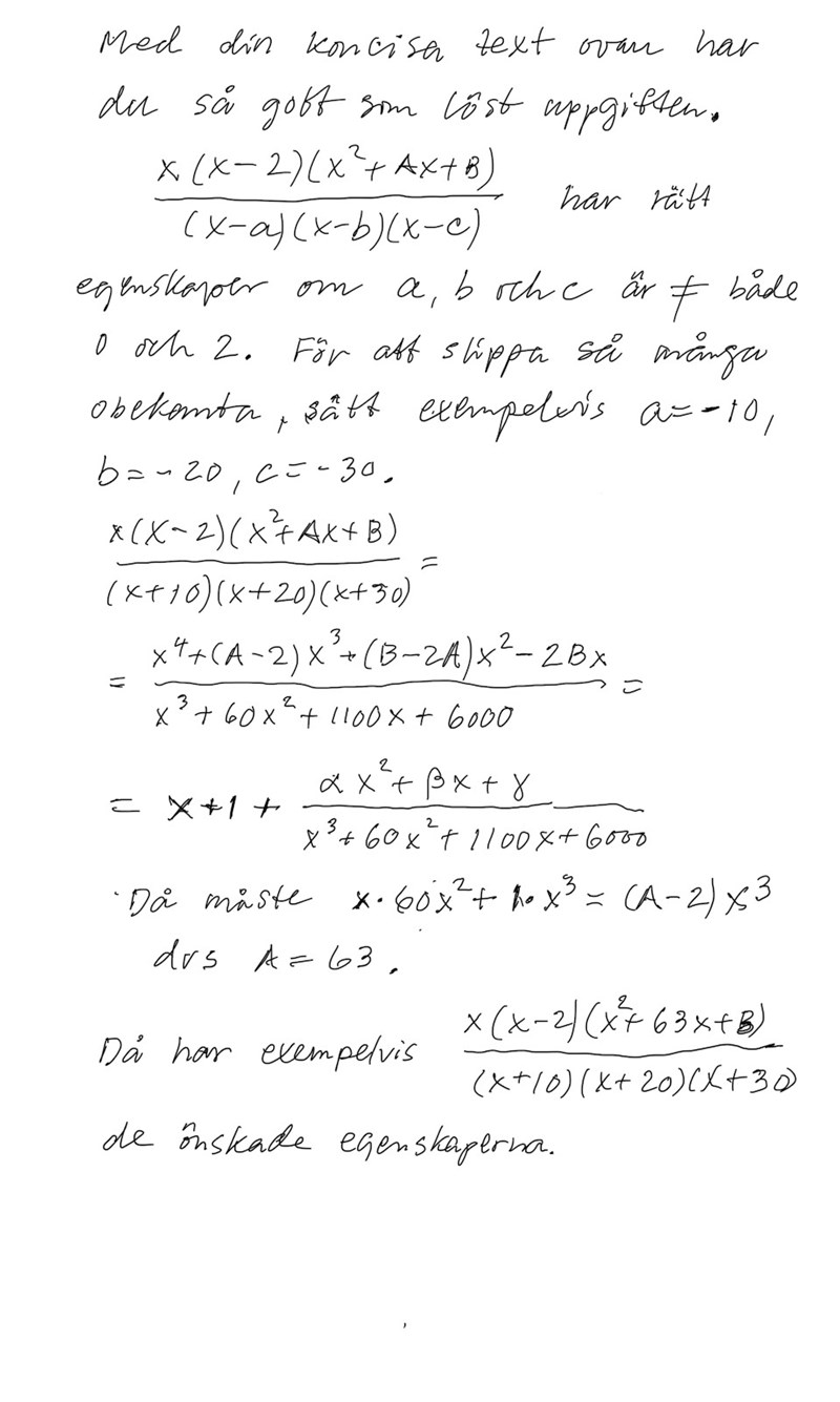
"Ange ett exemel på en funktion som har tre lodräta asymptoter, åtminstone två nollställen: x = 0 respektive x = 2 samt en sned asymptot y = x+1"
Jag har förstått att nämnaren ska bestå av ett tredjegradspolynom för att få ut de lodräta asymtoterna dvs (x+a)(x+b)(x+c), och att ett fjärdegradspolynom i täljaren som ska ha rötterna x=0 och x=2. Fjärdegradspolynomet ska divideras med tredjegradspolynomet och ge x+1 som kvot, men jag har ingen aning hur jag ska gå till väga för att få värden i polynomen som stämmer.
