1
svar
286
visningar
Matte upp 2216 d andragradsekvation
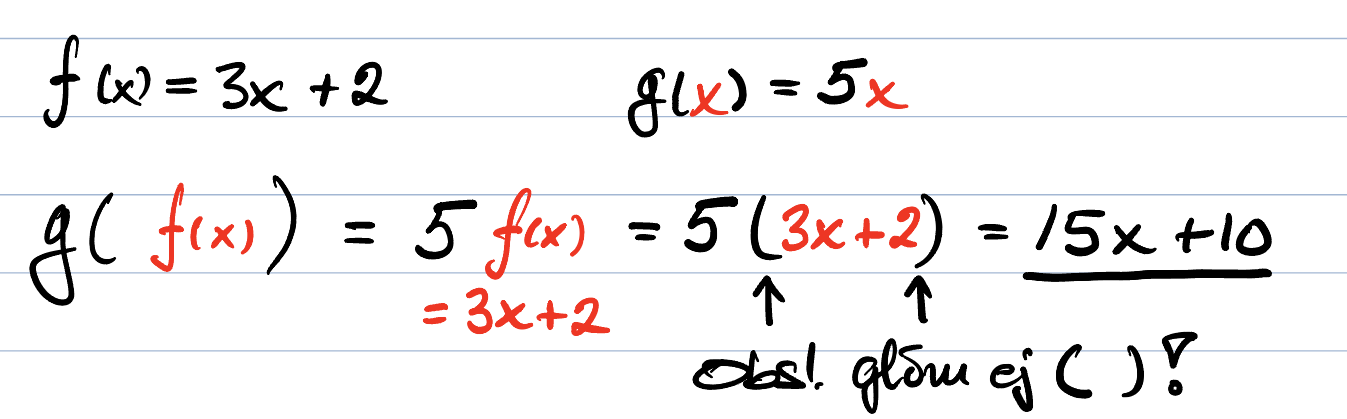
Här på denna upp på d vrf tar jag inte 5x gånger för i svarta står det 5 bara


