1
svar
142
visningar
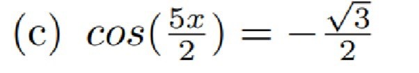
Mattepropp: cos(5x/2)
Uppgiften:

Visa spoiler
Facits svar:

Såhär har jag löst den hittils och det blir rätt men jag undrar hur jag kan veta att det är allt för på andra lösningar kan det ibland finnas x1 och x2 som går att skriva under samma likhetstecken p.g.a periodicitet. Hur vet jag att det här är det enda x?
Det är det inte. Det värdet för cosinus förekommer också för någon vinkel i fjärde kvadranten. För att fånga dessa brukar man generellt sätta svaren till ekvationen cos(v)=k till:
v=+-arccos(k)+2Pin där n=0,1,2…
Tillägg: 1 sep 2024 19:42
Du har för övrigt skrivit fel såg jag nu. Det ska vara -sqrt(3)/2. För det värdet finns det vinklar i 2a och 3e kvadranten.