Matteprov funktioner

2 a och b har jag räknat rätt fick 10% ca på a och ca 13 år på b om jag gjort fel kan någon visa hur jag ska göra har matte prov på detta imorfon aå det ganska akut
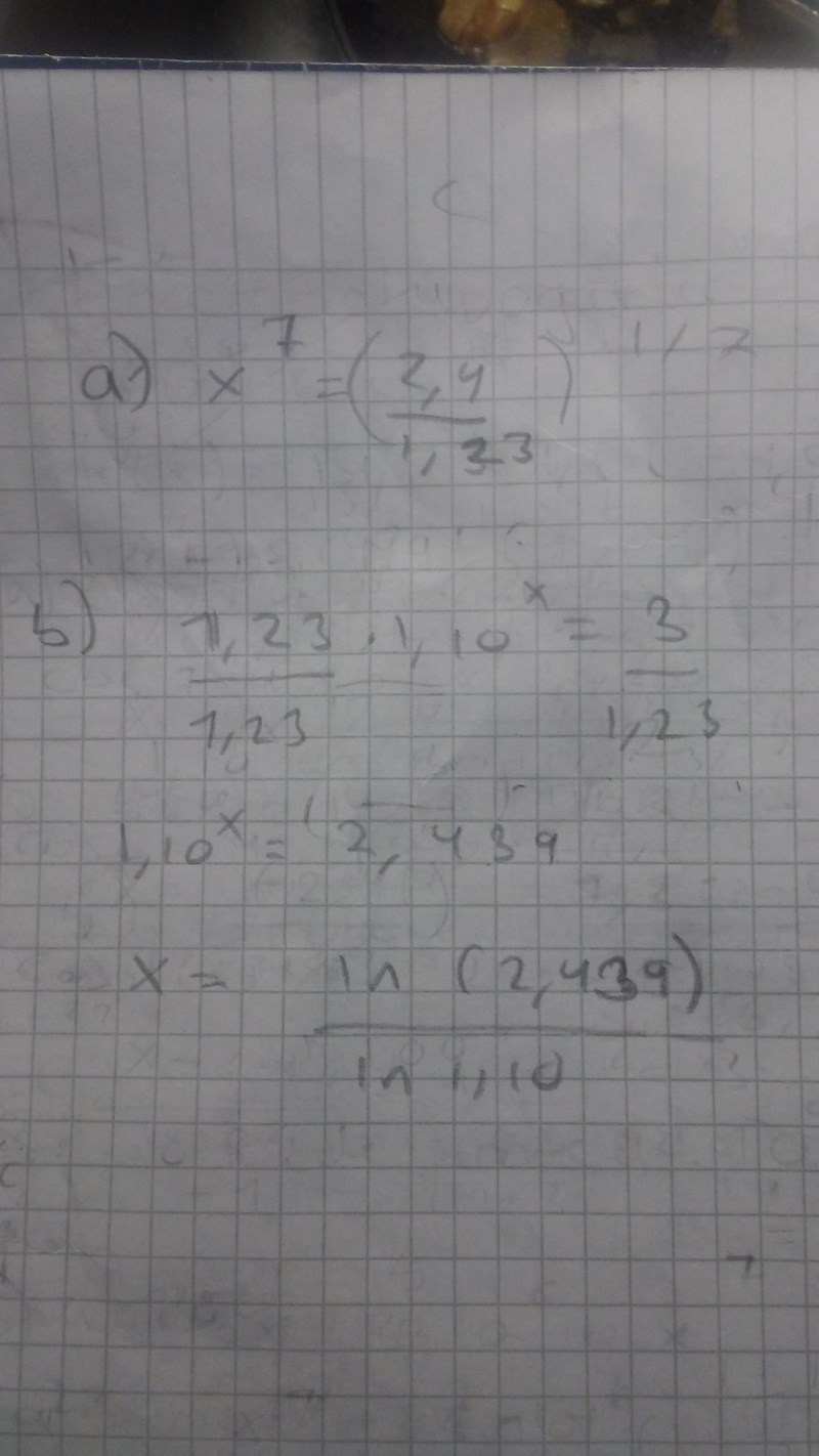
a) Jag fick också svaret till att priset ökade med cirka 10 % per år, men du behöver redovisa bättre! Det är som är lika med 2,4/1,23, och så måste du visa att du drar sjunderoten ur detta för att få fram 1,10.En modell för radhusets värde är där f(x) är priset i miljoner kronor och x är antalet år efter 2001.
b) ekvationen du skall lösa är
EDIT: rättade till error converting...
Försökte lösa din ekvation
Dem vill swn. Jag ska säga definition och värdemängd vet att definitions mängd är tillåtna x värden och värdemängd dem y värdern vi då kan få.Har alltid haft svårt med bestämma det hur ska jag tänka har du knep eller tips
Fundera t ex på om definitionsmängden kan innehålla negativa tal.
Definitionsmängdwn är X är större eller lika med Noll x>0 och värde mängd y<0
Är det rätt eller hur ska jag tänka sitter fast
Sluta bumpa din tråd. Du kan redigera ditt tidigare inlägg istället. /moderator
Definitionsmängden stämmer - x måste vara icke-negativt.
Värdemängden är de y-värden man kan få om man stoppar in alla x(som finns i definitionsmängden) i funktionen. Vilka y-värden kan du få om du stoppar in positiva värden på x i funktionen ?
I fråga 1 c)) ska jag sätta in t i funktionen för att få höjden dvs det jag räknde ut i a))???
Värde mängden om jag stoppar in posetiva x värden i funktionen är. Då får jag att y>0 att y värdena är störren 0
Jag får t i uppgift a till t=9,354 som jag avrundar till 9,4
Sluta bumpa din tråd. Det här är andra gången jag säger till i den här tråden. Fortsätter du på det här sättet kan du bli avstängd. /moderator
Vad är bumpa jag ställde bara en fråga
Kan jag få hjälp med upgiften???
Du skrev onödigt många inlägg som inte tillfförde någon ny information istället för att uppdatera ditt förra inlägg. När jag är tvungen att moderera dig orkar jag inte svara på frågor. /moderator
Kan du hjälpa mig har jag löst t rätt på 1an
Fråga 1 är väl i en helt annan tråd. Varför frågar du om den frågan i den här tråden?
Den är här kolla på 1an längst upp
Fick så här på 2 an är det rätt 2. 2b))) 
Sätt in ditt värde i ekvationen och kolla om det stämmer. Det är betydligt smartare än att vänta på att någon annan skall göra det åt dig.
Hur vet jag att det stämmer har satt in,,,, vill ba någon visar va som är rätt och inte rätt
Beräkna värdet för x. Sätt in det värdet i formeln f(x). Kolla om VL = HL. Detta ingår i Ma1, så det borde du ha lärt dig.