matteräkning

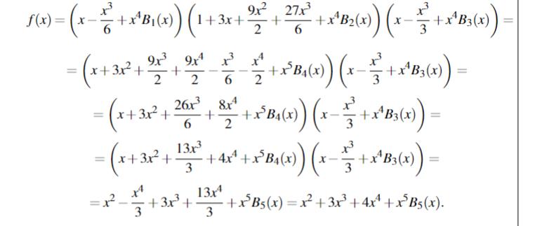
jag en liten dum fråga och det är. Om man parar ihop dom första parenteserna. Så kommer man inte kunna få det parentesen som är under. Jag vet inte hur min lärare har tänkt.
min fråga lyder hur kan man få det parentesen som är under.
Ser ut som att läraren strukit termer av grad 6 eller högre, alternativt klumpat ihop dessa termer till B4(x)
Calle_K skrev:Ser ut som att läraren strukit termer av grad 6 eller högre, alternativt klumpat ihop dessa termer till B4(x)
vad menar du?
Produkten av de 2 första parenteserna i första raden är uppenbarligen inte lika med den första parentesen i den andra raden. Dock finns det en okänd funktion B4(x) med i den andra raden. Jag misstänker att de termer som saknas i parentesen har tagits med i denna funktion. Notera att det bara är termer av grad 6 eller högre som saknas (borde inte vara någon tillfällighet).
Vill du har mer hjälp är det lättare om du postar frågan