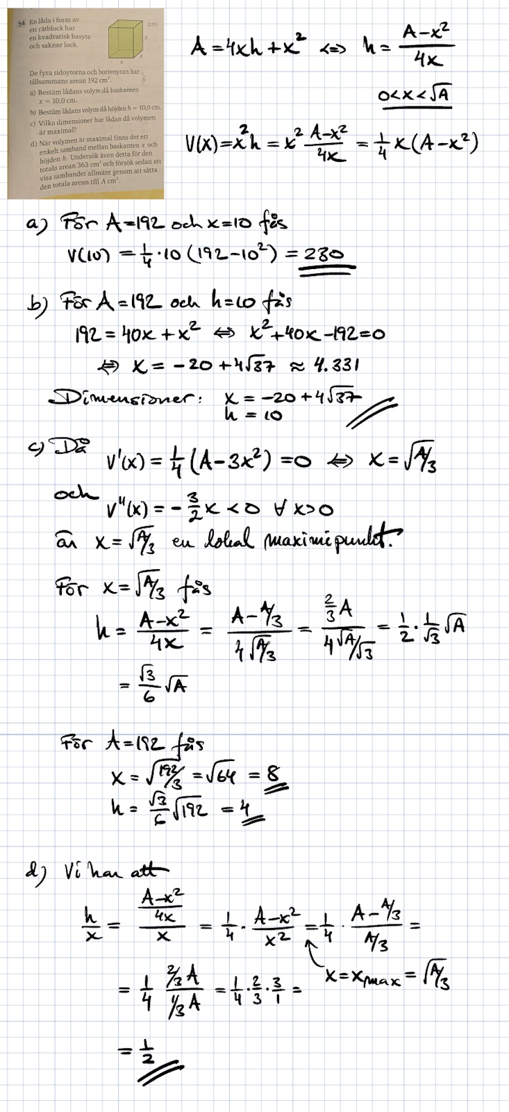
Maximal volym av låda, uppgift C.
Hej,
Jag undrar hur jag löser fråga 54 här. Man ska skriva om h på något sätt så man får det uttryckt i X eller någonting, och sedan derivera.
Uppgift C)

Skriv uttryck för Volymen
x*x*h =V
byt x mot 10 efter
Fattar inte.
10^2 × h = v?
Jag har fått fram uttrycket ((192x^2-x^3) /4x) för volymen.. tänkte derivera det.. men det är helt fel
Eller det verkar vara rätt men får inte till det i den här TI84. Kan man ens hitta värdet då derivatan är 0? Rita en linje där Y=0 och kolla skärningspunkt..
Är det (c) du håller på med? Visa hur du räknat så blir det lättare att hjälpa till.
Jo..
Men nu är min fråga hur jag tar fram det här i TI84? Jag ska lösa det här med digitalt verktyg.. knappar in funktionen för Volym och söker Derivata.. och måste då välja ett x värde, men det vill jag ju inte, jag vill välja att resultatet av funktionen ska bli 0..
Tror det blir såhär:

Det ser rätt ut, men räknaren kan jag tyvärr inte hjälpa till med.
Okej, tack. Får lösa det ändå.
Hur gör man på fråga d)? Sambandet är att h är 0.5x när volymen är maximal.
Har ingen aning om hur jag visar det med hjälp av arean. Man har ju redan visat det genom att derivera.
