3
svar
72
visningar
Maximera


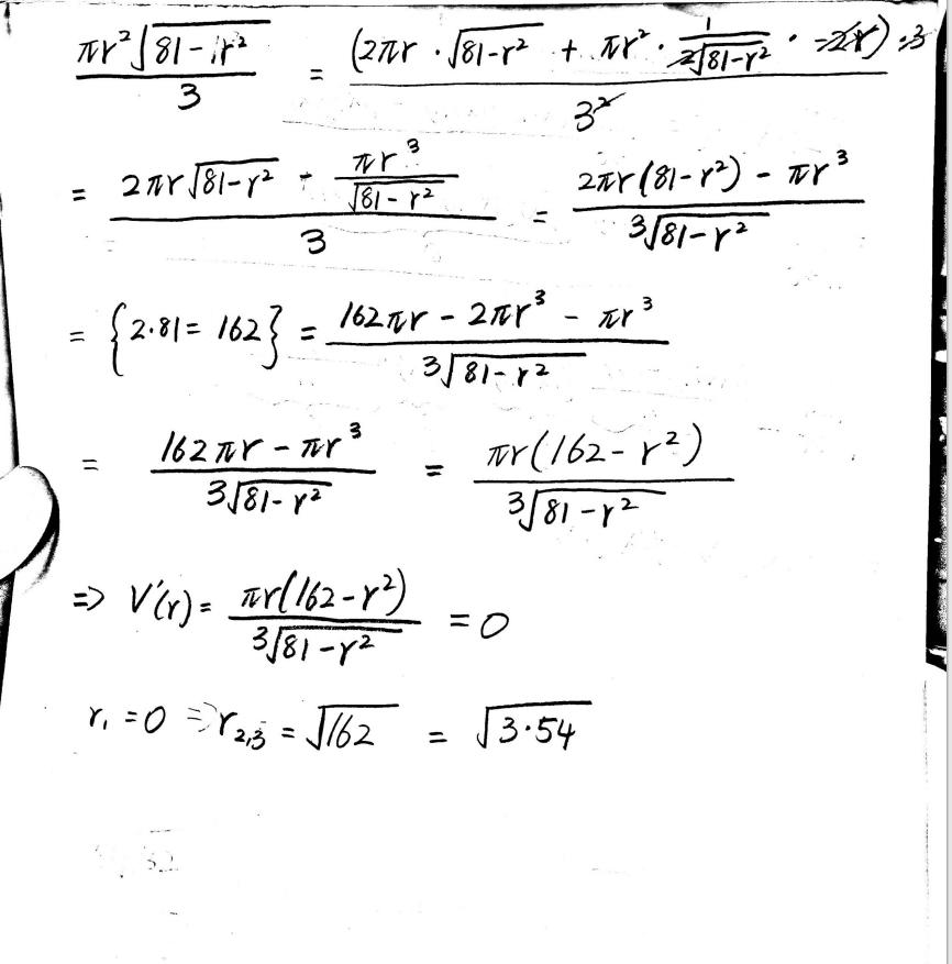
Varför valt facit att använda h höjden som variabeln av V volymen? Är det för att den blir enkelt att deriverar sen?
Jag tog lite annat väg här och skriv volym funktion med radie, sen beräknat derivatan. Men jag tror ja gjort lite beräkningsfel. Men jag vet inte var har ja gjort fel.

