0
svar
112
visningar
Maxvärde
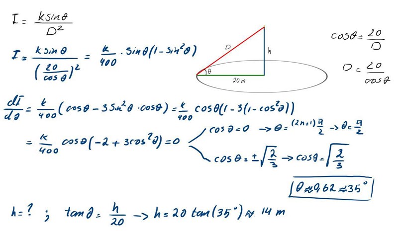
Ett cirkulärt område med radien 20 meter är omgivet av en gångväg. I mitten av denna cirkeln står en lyktstolpe och ovanpå den ett ljus. Vid vilken höjd ska ljuset placeras så att det belyser gångvägen maximalt?
Intensiteten I av illumination för en yta anges med , där D är avståndet från ljuskällan till ytan, är
vinkeln mellan ljusstrålarna och ytan, och k är en positiv konstant.
Så här har jag löst uppgiften:

Har jag missat något?
Tack på förhand!