7
svar
113
visningar
Valliu behöver inte mer hjälp
Mclaurinutveckling
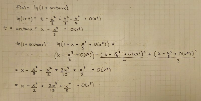
Ska bestämma Maclaurinpolynomet av grad 4. Vad gör jag för fel?
Du är nog litet snål när du utvecklar arctanx
I ln(1+t) = t + …
behövs x5-termen. Nej, sorry, såg fel. Du skulle bara ha termer till grad 4. Får titta igen.
Visa spoiler
Skriv ditt dolda innehåll här
Men du har inte med t4 i utvecklingen?
Marilyn skrev:Men du har inte med t4 i utvecklingen?
Nej jag såg det efteråt, men även om jag har en så blir svaret fel.
Svaret ska bli
Jag får nästan rätt .:) Men måste lägga mig nu.

Tack för att du tar dig tiden! Ligger också i säng redo för sömn så ska titta mer imorn :)
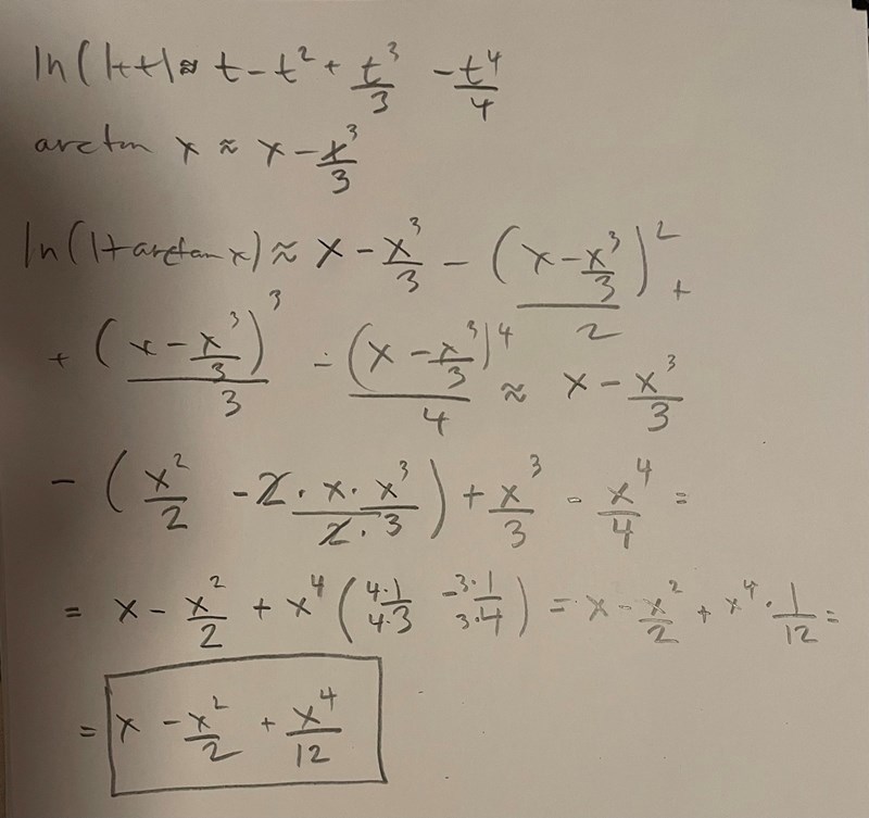
Tror jag fick till det nu, se nedan:

Gjorde precis uppgiften igen och fick rätt. Hade råkat sätta att från start :@