5 svar
227 visningar
Matematikälskaren behöver inte mer hjälp
Matematikälskaren 5
Postad: 3 nov 2022 09:29

Medelvärde av logaritmerade värden

Jag har kommit fram till att det aritmetiska medelvärdet av naturligt logaritmerade värden är detsamma som det geometriska medelvärdet av samma ologaritmerade värden. Är det någon som kan verifiera om jag har rätt eller inte?

Smaragdalena 78892 – Avstängd
Postad: 3 nov 2022 09:49

Välkommen till Pluggakuten!

Visa steg för steg hur du har kommit fram till det, så är det lättare för oss att se om du har gjort rätt.

Rent spontant ser det rimligt ut, med tanke på logaritmlagarna.

Smutsmunnen 1119
Postad: 3 nov 2022 10:28

Det du skriver skulle innebära att:

ln x + ln y2=xy

vilket naturligtvis inte stämmer. Ta bara x=y=1. Däremot är det du kanske menar att:

ln x + ln y2= ln xy

vilket stämmer och följer direkt ur logaritmlagarna. 

Matematikälskaren 5
Postad: 3 nov 2022 11:54

Tack!

Matematikälskaren 5
Postad: 17 nov 2022 14:52 Redigerad: 17 nov 2022 15:00
Smutsmunnen skrev:

Det du skriver skulle innebära att:

ln x + ln y2=xy

vilket naturligtvis inte stämmer. Ta bara x=y=1. Däremot är det du kanske menar att:

ln x + ln y2= ln xy

vilket stämmer och följer direkt ur logaritmlagarna. 

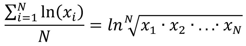
Tack för hjälpen! Gäller även detta?

Matematikälskaren 5
Postad: 18 nov 2022 19:20
Matematikälskaren skrev:
Smutsmunnen skrev:

Det du skriver skulle innebära att:

ln x + ln y2=xy

vilket naturligtvis inte stämmer. Ta bara x=y=1. Däremot är det du kanske menar att:

ln x + ln y2= ln xy

vilket stämmer och följer direkt ur logaritmlagarna. 

Tack för hjälpen! Gäller även detta?

Jag har själv verifierat att ovanstående gäller.

Svara
Close