Medelvärdessatsen - Inlupp
Jag har en inlämningsuppgift i envariabelsanalys som jag har fastnat på.

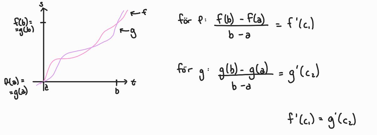
Först tänkte jag att man använder sig av Rolles sats där man på y-axeln använder sig av skillnaden av sträcka och på x-axeln tiden så att när man deriverar så blir enheten skillnaden i hastighet.

Men fick sedan hjälp av en amanuens som sa att man skulle använda sig av medelvärdessatsen. Det är här jag kör fast. Jag förstår i och med att de har samma start och slutpunkt, så kommer de någon gång under denna period som de cyklar ha samma hastighet, men tydligen ska det även vara vid exakt samma tidpunkt.

Jag har då kommit såhär långt och förstår inte hur jag ska gå vidare för att visa att c1=c2.
Fortsätt som du hade tänkt. Oavsett vilken sats du väljer behöver du börja med att titta på skillnaden.