Mekanik 1 - Dynamik | Kolliderande Kulor
Jag fattar inte vad jag gör fel på denna uppgiften:
1. Man vet inte vilken hastighet som är störst så jag förstår inte hur man ska ställa upp COR (Coefficient of Restitution).
2. Man vet inte vilket håll som är positivt eller inte och ÄVEN om vi ställer upp det själva så vet jag inte om det negativa tecknet är inbakat i hastigheten eller inte.
3. Förslag: Kanske använde något med tangentiell/normalriktning...


Jag tolkar som du , dvs absolutbeloppet av vektorn . Det innebär att den högra massan från början har hastighetsvektorn och att skalärerna (absolutbeloppen) .
Sätt in dessa värden i facits förslag
Uppenbarligen ska i x-led ge ett negativt svar efter kollision, eftersom den högra kulan är tyngre och rör sig med högre hastighet än den mindre vänstra kulan. Gör facits förslag det?
Sen tycker jag iofs att ditt förslag innehåller ett teckenfel framför andra termen.
D4NIEL skrev:Jag tolkar som du , dvs absolutbeloppet av vektorn . Det innebär att den högra massan från början har hastighetsvektorn och att skalärerna (absolutbeloppen) .
Sätt in dessa värden i facits förslag
Uppenbarligen ska i x-led ge ett negativt svar efter kollision, eftersom den högra kulan är tyngre och rör sig med högre hastighet än den mindre vänstra kulan. Gör facits förslag det?
Sen tycker jag iofs att ditt förslag innehåller ett teckenfel framför andra termen.
finns inget facit... hmm jag försöker igen fast kanske konstaterar vad som faktiskt är negativt och positivt för storleken kanske inte spelar roll. Är något negativt så är det ju automatiskt mindre än hastigheten som är i positiv rikting... yooo det kanske är så man ska tänka???
Du jag kan pussa dig (om jag fick)

Nu återstår bara två frågor jag skrev på denna formeln
m1v1+m2v2=m1v1'+m2v2'
Och sen körde m.a.p x och y-led
Och det make:ar sense både v2=(−v2cos(θ),−v2sin(θ) men också det jag sa att just i detta fallet så länge vi bestämmer en riktning som är positiv och negativ så kommer nog farterna att variera men hastigheterna är olika och är den ena hastigheten negativ så kommer den OAVSETT dess magnitud, alltid att vara mindre än hastigheten riktad i positiv riktning.
Med det sagt varför skriver man inte så här sen (inkludera minus tecken m.a.p respektive axel)?
m1v1+m2v2=m1(-v1')+m2(-v2')
Liksom man vet väl inte direkt vilka riktningar allt går. Fine m1 går åt vänster sen, m2 fortsätter ner men vi vet inte om m2 fortsätter höger eller vänster... fattar du hur jag tänker? Det spelar alltså roll vad eball (COR) är.
COR gäller i "normalriktningen", dvs utmed en den riktning som kontaktkrafterna verkar under kollisionen, den ska vara vinkelräta mot kontaktytan. I det här fallet har vi en normalriktning i -led.
Du har alltså ett koordinatsystem givet i frågan. De hastighetskomponenter som pekar i positiv -led ska vara positiva i svaret och så vidare. Alltså:

Här är har jag ställt upp rörelsemängdens bevarande i -led. Eller om man så vill i -led. Vektorerna har inga tecken, men komponenterna kanske får det. Men det sköter matematiken åt oss.
Det är väldigt viktigt att särskilja vektorer och dess komponenter. Skilj alltså på vektorn och x-komponenten
D4NIEL skrev:COR gäller i "normalriktningen", dvs utmed en den riktning som kontaktkrafterna verkar under kollisionen, den ska vara vinkelräta mot kontaktytan. I det här fallet har vi en normalriktning i -led.
Du har alltså ett koordinatsystem givet i frågan. De hastighetskomponenter som pekar i positiv -led ska vara positiva i svaret och så vidare. Alltså:
Här är har jag ställt upp rörelsemängdens bevarande i -led. Eller om man så vill i -led. Vektorerna har inga tecken, men komponenterna kanske får det. Men det sköter matematiken åt oss.
Det är väldigt viktigt att särskilja vektorer och dess komponenter. Skilj alltså på vektorn och x-komponenten
Okej tre frågor i så fall vad det gäller allt du sa:
1. Hur blir det om de inte skulle sammanfalla med x OCH y led? Hade man ändrat så att de gör det (om det gick) eller hade man bara gjort så att man tar m.a.p normalriktning och tangentiellriktning? Nu när jag skriver och med tanke på vad du sa så låter det andra bättre.
Edit: insåg att det inte spelar någon roll.vad x OCH y led är för n och y led kommer vara oförändrad.
2. Hur vet du att rörelsemängden är bevarad?
3. Är inte komponenter vektorer medan komposanter är skalärer? Hmm... nej fast det är mer logiskt så som du tänker att komposanterna får riktning och inte självaste hastighetsvektorn. Det var det jag tyckte var konstigt, men jag trodde den ändå skulle var negativ eftersom både x OCH y komponenten är negativ och därför skulle helheten bli negativ. Nämen då är det inbakat ändå. Bryter vi ut minus tecken så blir den ju negativ men det blir lättare att arbeta med om vi inte gör så och fokuserar på komposanterna.
Så länge objekten som krockar inte har någon friktion kan de endast överföra moment vinkelrätt mot kontaktytan. De behöver inte infalla rakt mot varandra (som jag råkade rita), du får alltid en kontaktyta ändå.

Ekvationen för COR gäller i normalriktningen, du måste alltså hämta ut normalriktningens komponenter (komposanter) från hastighetsvektorerna.
Rörelsemängden är bevarad om summan av alla yttre krafter som verkar på ett system är noll.
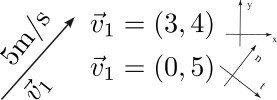
En vektor har en storlek och en riktning. Ibland skriver man vektorn som en lista av tal med parenteser runt. Då kallas talen vektorns komponenter. Listan ser olika ut i olika koordinatsystem. Men vektorn (längden och riktningen) är geometriskt densamma oavsett hur du väljer dina koordinater.
Det här är exakt samma vektor, fast med olika komponenter i olika koordinatsystem:
Du kan "hämta ut" vektorns komponent i normalriktningen genom att skalärmultiplicera med
I det första koordinatsystemet är och
I det andra koordinatsystemet är och
Är du med?
Ett reellt tal som är oberoende av koordinatsystemet kallas skalär. oavsett i vilket koordinatsystem vi räknar. Alltså är det en skalär.
Ibland kallar man vanliga reella tal "skalärer", för att särskilja dem från vektorer. Men den riktiga definitionen är alltså att det är ett koordinatoberoende reellt tal som beskriver ett geometriskt koncept, till exempel skalärprodukten mellan två vektorer.
Ah det är logiskt. Du tog väl i det första koordinatsystemet att n = (3,4)/|v| och därför får vi LÄNGD (skalär) 5 därefter. Det här låter och förmodligen är en linjär transformation då? Jag tror jag förstår. Tack så hemskt mycket, du svarade på alla mina frågor och tydligt dessutom. Tackar!
Mennn..... I verkliga scenarion så kommer det väl ALLTID finnas friktion (eller kanske inte om de skjuts RAKT mot varandra) och deformation eller energi förlust i form av värme/ljud. Aja tackaaar.