Mekanik
Hej! Jag jobbar med den här uppgiften:
5. En delfin kan hoppa 3 m upp i luften och landa i vattnet 5 m bort.
a) Vilken hastighet måste delfinen ha när den kommer upp ur vattnet för att klara detta hopp?
Lösningen för frågan är enligt facit:

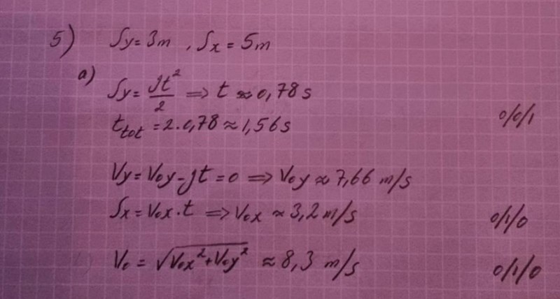
I uppgiften vet jag att det är en sned hopp som delfinen hoppar. I början räknar de ut tiden för halva hoppet (horisontell hopp). Sedan räknar de ut starthastigheten i y-led från formeln Vy= V0y - gt som man använder för sneda hopp. När jag lägger in den totala tiden för hoppet i formeln får jag inte 7,66 m /s. Varför lägger de in halva tiden för det horisontella hoppet om det egentligen är totala tiden för hela sneda hoppet?
Hej och välkommen till Pluggakuten!
Det är en olyckligt formulerad lösning, där de räknar med t 0,78 sekunder i allt som har med tiden fram till högsta punkten att göra och t 1,56 sekunder i allt som har med tiden till nedslag att göra.
De använder alltså samma t för att dels beteckna halva tiden 0,78 s, dels beteckna hela tiden 1,56 s.
Jag tycker att de antingen borde ha använt två tidsangivelser: t1 0,78 s och t2 1,56 s eller att de borde använt t respektive 2t i uträkningarna.
Det förstår jag. Men varför använder de 0,78 s i formeln Vy= V0y - gt istället för 1,56 s för när man räknar med sneda hopp (hela hoppet), ska man inte då sätta in den totala tiden för hoppet, och om formeln var Vy=gt skulle det vara för halva hoppet och halva tiden?
De löser ekvationen vy = 0, dvs de räknar den tid det tar för hastigheten i y-led att minska till 0.
Detta sker vid högsta punkten, dvs efter halva hoppet.
Då förstår jag. Tack!