Mekanik
Hej, jag undrar om jag har tänkt rätt till denna uppgift. Konstigt nog så svarar facit inte på det som efterfrågas.
_______________________
Facit
------------------------------

Vad säger facit då?
Laguna skrev:Vad säger facit då?
Det visas i första bilden. Lite svårt och se då den smälter in i bakgrunden, jag ska försöka markera det lite bättre.
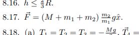
Facit 8.17 ger svaret på en annan uppgift, någon uppgift där M, m1, m2 är givna.
Uppgift 8.17 har endast två lika massor M.
Sådant händer. Man uppdaterar det ena utan att ändra det andra.
Pieter Kuiper skrev:Facit 8.17 ger svaret på en annan uppgift, någon uppgift där M, m1, m2 är givna.
Uppgift 8.17 har endast två lika massor M.
Sådant händer. Man uppdaterar det ena utan att ändra det andra.
Absolut det är sånt som händer.
Ser mitt svar rätt ut?
Cien skrev:Ser mitt svar rätt ut?
Nej. Det finns två fall. När kraften inte är stor, är accelerationen noll.
(Och när kraften är stor, är det logiska att accelerationen är i samma riktning som F.)
Pieter Kuiper skrev:Cien skrev:Ser mitt svar rätt ut?
Nej. Det finns två fall. När kraften inte är stor, är accelerationen noll.
(Och när kraften är stor, är det logiska att accelerationen är i samma riktning som F.)
Förutsätter inte det att vi har kinetisk och statisk friktion? I uppgift sägs bara att friktionen är
Cien skrev:Förutsätter inte det att vi har kinetisk och statisk friktion? I uppgift sägs bara att friktionen är
Ok. Testa. Putta lite mot soffan med ditt lillfinger.
Den rör sig inte. Och det beror inte på någon skillnad mellan statisk och kinetisk friktion.
Pieter Kuiper skrev:Cien skrev:Ser mitt svar rätt ut?
Nej. Det finns två fall. När kraften inte är stor, är accelerationen noll.
I uppgift (b) står det att vi ska beräkna accelerationen a för klossen A. Jag tolkar det som att klossen rör på sig, därav finns det ett fall och inte två?
Cien skrev:Pieter Kuiper skrev:Det finns två fall. När kraften inte är stor, är accelerationen noll.
I uppgift (b) står det att vi ska beräkna accelerationen a för klossen A. Jag tolkar det som att klossen rör på sig, därav finns det ett fall och inte två?
Man behöver säkert bara svara för fallet där accelerationen är större än noll.
Så ""
Det andra fallet anses vara trivialt. Det är som alla dessa block som ligger stilla på lutande plan.
Du måste väl se att ditt uttryck är orimligt? Att det ger en acceleration när , alltså utan att det är något som drar?
Pieter Kuiper skrev:
Du måste väl se att ditt uttryck är orimligt? Att det ger en acceleration när , alltså utan att det är något som drar?
Ja det var konstigt... ett liknande exempel på youtube (längst ner åt höger i bild) visar ungefär samma, sätter du F=0 här finns det också en acceleration.

Cien skrev:Pieter Kuiper skrev:Du måste väl se att ditt uttryck är orimligt? Att det ger en acceleration när , alltså utan att det är något som drar?Ja det var konstigt... ett liknande exempel på youtube (längst ner åt höger i bild) visar ungefär samma, sätter du F=0 här finns det också en acceleration.
Där säger han ju tydligt: "Provided that this force is bigger than those two forces combined."
Annars är accelerationen noll.
https://youtu.be/2AvWWdtPBtk?si=6rp1Esro4AZYBLiN&t=544
Pieter Kuiper skrev:Cien skrev:Pieter Kuiper skrev:Du måste väl se att ditt uttryck är orimligt? Att det ger en acceleration när , alltså utan att det är något som drar?Ja det var konstigt... ett liknande exempel på youtube (längst ner åt höger i bild) visar ungefär samma, sätter du F=0 här finns det också en acceleration.
Där säger han ju tydligt: "Provided at this force is bigger than those two forces combined."
Annars är accelerationen noll.
https://youtu.be/2AvWWdtPBtk?si=6rp1Esro4AZYBLiN&t=544
Okej så är mitt svar rätt förutsatt att F är större än den andra termen?
Cien skrev:Okej så är mitt svar rätt förutsatt att F är större än den andra termen?
Jag hade också redan skrivit att ditt val av tecken inte är bra.
Pieter Kuiper skrev:Cien skrev:Okej så är mitt svar rätt förutsatt att F är större än den andra termen?
Jag hade också redan skrivit att ditt val av tecken inte är bra.
Okej jag antar att positiv riktning är rörelsens riktning, dvs vänster. Jag multiplicerar accelerationen med -1 och får
Edit: Och villkoret är att
Annars är accelerationen noll.