Mekanik
Jag har några funderingar kring uppgiften nedan. Matematiskt sett borde det övre blocket glida ifrån det undre när kraften F överstiger den statiska friktionskraften mellan blocken. Men eftersom det undre blocket ligger på en friktionsfri yta, känns det intuitivt som att det övre blocket aldrig kan glida ifrån det undre. Därför borde accelerationen för de två blocken vara densamma. Men enligt facit är detta inte fallet, där accelerationen för det övre blocket beror på kraften F, medan accelerationen för det undre blocket är konstant. Hade uppskattat om någon kunde hjälpa mig reda ut detta.
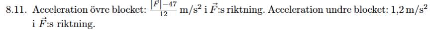
Facit

Friktionskraften mellan blocken kan inte bli hur stor som helst. Vad händer då, när man drar med tillräckligt stor kraft i det övre blocket,?
Bubo skrev:Friktionskraften mellan blocken kan inte bli hur stor som helst. Vad händer då, när man drar med tillräckligt stor kraft i det övre blocket,?
Matematiskt om F är mycket större än friktionskraften så kommer den förflytta sig och den bör väl trilla av det undre blocket
Just det. Nu känns det väl intuitivt att övre blocket kan glida ifrån det undre?
Bubo skrev:Just det. Nu känns det väl intuitivt att övre blocket kan glida ifrån det undre?
ja tack!