Mekanik: accelererande referensramar
Hej, jag har påbörjat kursen mekanik 2 nu, det ska bli kul, men jag vill gärna veta hur saker är annorlunda grundkursen jag gått.
Första kapitlet handlar om accelererande referensramar vilket är synonymt med icke inertialsystem.
Visa spoiler


Men jag har då direkt en fråga. I grundkursen lärde vi oss om cylinderkoordinater, är det ett icke-inertialsystem? Ja, det borde den vara.
Visa spoiler

Hej PATENTERAMERA, jag ser att du skriver, jag håller på att undersöka frågan genom att tillämpa båda metoder (cylinderkoord och generella icke inertialsystem) på samma fråga för att se at de ger samma svar.
Jag brukar ha en mer praktisk syn på det här med referensram, som jag tänker mig som en rigid (stel) struktur (tex en tegelsten eller annan stel kropp) relativt vilken vi kan göra mätningar av position, hastighet och acceleration etc. Om strukturen inte roterar och har konstant hastighet så definierar den ett inertialsystem, dvs Newtons ekvationer gäller i systemet.
En mer abstrakt definition är att vi ges en observatör, dvs vi ges vid varje tidpunkt t en punkt i rummet O(t) som kan ses som definierande en fix punkt i referensramen. Vidare ges vi vid varje tidpunkt en högerorienterad ON bas (t), i = 1, 2, 3. Vi förutsätter att alla funktioner är minst två gånger differentierbara.
Så du kan utnyttja cylinderkoordinater för att definiera en referensram. Men det går att göra på flera sätt.
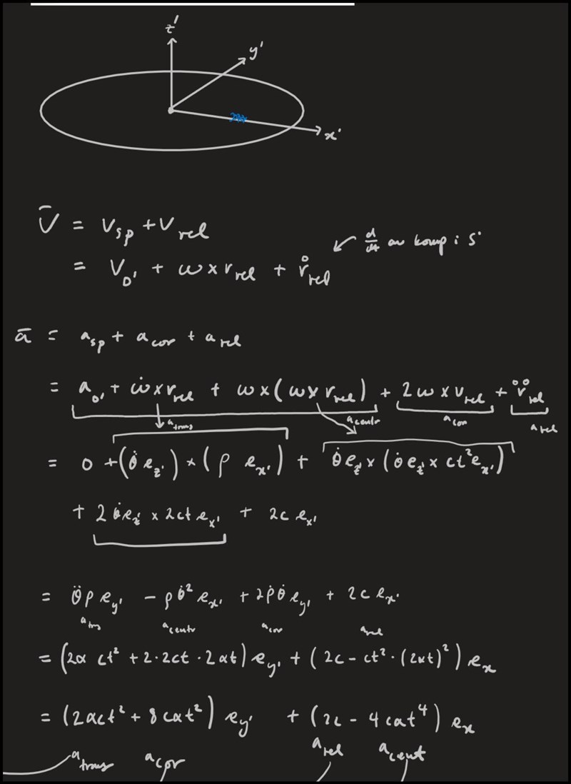
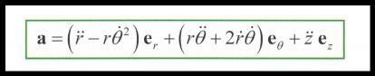
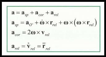
Okej, jag har fått väldigt tillfredställande svar. Jag gjorde denna fråga (bara accelerationen):

I cylinderkoordinater:

Med generella IIS:

Där vi kan identifiera de fyra termerna:
- a_rel=r**
- a_cent=r theta*^2
- a_trans=r theta**
- a_corlois=2r*theta*


Ja, det borde ge samma svar.
Utifrån de två sista bilderna, hur är cylinderkoordinater ett specialfall av IIS?
Vad menar du med IIS?
Ett generellt icke inertial system
Om vi kör den mer abstrakta definitionen så kan vi tex låta O(t) vara myrans position och våra basvektorer , som beror av myrans position och därför av tiden. Men vi skulle lika gärna kunna säga att O(t) är skivans centrum och fortfarande våra basvektorer, vilket ger en annan referensram. I den första referensramen är myran i vila, men inte i den andra.
Yes, men jag vill då ha alternativ nummer 2, origot av cylindersystemet är fixt. Om vi sätter in dessa i IIS:
Så återfår vi väl:
Ja, det ser rätt ut.
Du verkar ha ritat in tre koordinataxlar, svarta blåa och rosa? Alla har samma enhetsvektorer?
Blå och rosa har samma enhetsvektorer. Inte svarta.
Såklart, ja, men vad betyder dessa koordinatsystemk du ritat ut?
Bara exempel på olika referensramar som kan kopplas till polära koordinater.
Mhm okej...
Ett koordinatsystem och en referensram är således inte exakt samma sak.
Ett koordinatsystem är en bijektiv avbildning som mappar en (öppen) delmängd av rummet E(3) till en (öppen) delmängd av .
En referensram är en rigid struktur relativt vilken vi gör mätningar av position, hastighet och acceleration.
