2
svar
206
visningar
Aorta behöver inte mer hjälp
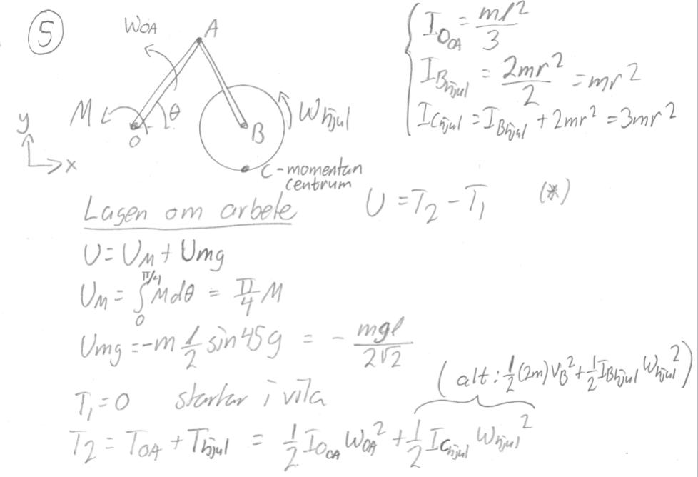
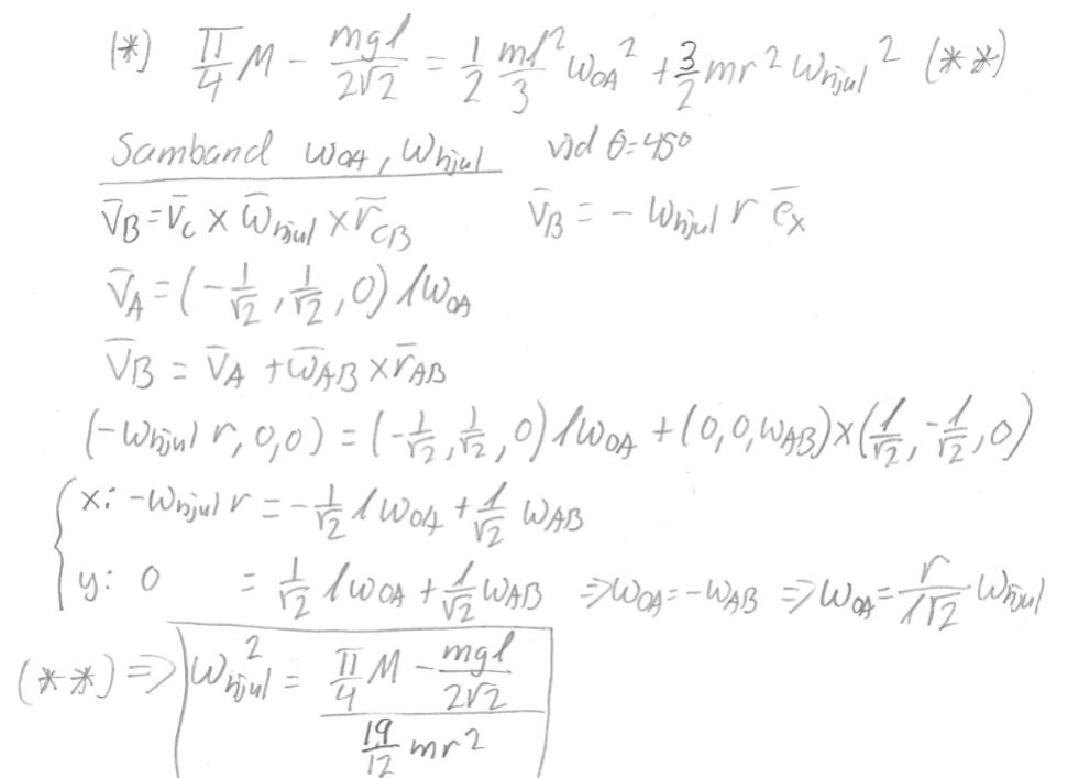
Mekanik arbete
Hej! På denna uppgiften har jag en fråga om arbetet . Jag ser inte hur de får fram värdet på det. Jag antar att det bara är för stången, då cirkelskivan ej rör sig i vertikalled och det därmed ej utförs något arbete av gravitationen på den. Hur har de fått fram värdet för arbetet ?


Arbetet som gravitationen utför är -(skillnaden i potentiell energi).
Alternativt kan du integrera. A = = = .
Tack för hjälpen! Nu förstår jag.