Mekanik beräkna hastighet, fjäder
Hej! Jag förstår ej det allra första steget i denna uppgiften. Fjäderns hoptryckning vid jämvikt x. Varför ska jag ta reda på detta? Jag tänkte inte att detta är en grej en behöver ta reda på, utan att det endast är själva jämviktsläget en utgår ifrån.


Aorta skrev:Jag tänkte inte att detta är en grej en behöver ta reda på, utan att det endast är själva jämviktsläget en utgår ifrån.
Hur ser din egen lösning ut då?
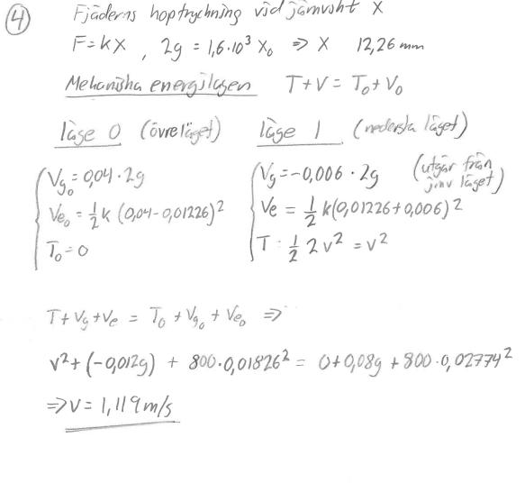
Här är min lösning.
Aorta skrev:Här är min lösning.
Svårt att följa. Om det är ekvivalent ska det ge samma svar men det har du inte räknat ut.
Jag får v till 1.49 m/s, så beräkningarna är ej ekvimomenta.
I mina beräkningar har jag tänkt att energin bevaras och att i jämviktsläget är all energi kinetisk energi. I det sökta läget har vi både potentiell energi (både i fjädern och som lägesenergi) samt kinetisk energi.
Vad jag undrar är alltså det första påståendet i lösningsförslaget. Fjäderns hoptryckning vid jämvikt. Jag tänkte att i jämviktsläget "ingick" att fjädern är lite hoptryckt, eftersom det är läget vi utgår ifrån. Varför är det inte så?
Aorta skrev:I mina beräkningar har jag tänkt att energin bevaras och att i jämviktsläget är all energi kinetisk energi.
Facit har också tänkt att energin bevaras.
Gravitationell lägesenergi kan du välja som noll i jämviktsläge. Men då är det inte så med elastisk energi i fjädern.
Man kan räkna på olika sätt i den här uppgiften, men man måste vara konsistent. Här några energigrafer:
Tack för all hjälp!