Mekanik, beräkna krafterna i linorna
Hej!
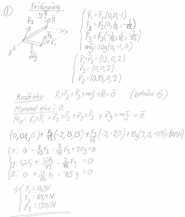
På denna uppgiften undrar jag varför det ej går att lösa ut krafterna redan vid uppställningen av krafterna? Varför behöver en räkna ut momentet för att få ut det? Jag tänker annars att jag har tre ekvationer (i x-, y- och z-led) och tre okända ()


Hur ser din ekvation i x-led ut?
Så hela blir 0, vilket jag förstår ej är rimligt, men jag förstår ej varför det inte går att lösa den på detta vis.
Du har tre obekanta kraftkomponenter i O också som du måste ta med. Med momentekvation så kommer de inte med.
Tillägg: 28 mar 2024 12:16
Som du ser i friläggningen så finns den obekanta reaktionskraften i O. Det ger ytterligare tre obekanta som dyker upp i ekvationerna för kraftjämvikt. Så därför kan du inte lösa problemet med endast kraftjämvikt.
Jaha, då är jag med! Tack för hjälpen!
En annan sak jag undrar är om det hade funkat lika bra om jag hade förflyttat krafterna längst med deras linor så att z-komponenten för alla krafter döpta till F var 0?
Förstår nog inte vad du menar. Skulle du kunna förklara lite noggrannare vad du tänker på.
Jag menar att om man förflyttar krafterna längst sin verkningslinje (linan) får de andra koordinater. Går det lika bra att räkna på dessa? Förhållandet mellan dem är ju ändå samma, så riktningen kommer bli samma tänker jag.
Nja, om du flyttar en kraft längs verkningslinjen så ändrar du inte kraftens riktning eller belopp så det är fortfarande samma kraft (vektor) och dess komponenter är fortfarande de samma.
Två vektorer är, som bekant, lika om de har samma riktning och belopp.