mekanik- dynamik
Jag har följande uppgift:
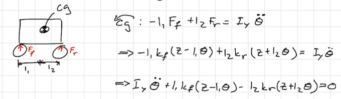
Det är två ekvationer som är sökta, den i vertikalled och momentjämvikt. Det är momentjämvikten jag får fel på. Jag tänker att det bara borde vara att frilägga modellen. Jag gör detta och får då: 
Rätt svar ska vara:
Fjädrarna strävar efter att hålla bilen någorlunda vågrät. Det innebär att förskjutningar från jämviktsläget () ska motverkas. När bilen vrids medurs som på uppgiftsbilden ska fjäder f minska sitt momentbidrag samtidigt som fjäder r ska öka sitt momentbidrag. I din föreslagna ekvation verkar det vara tvärtom.
Teckna momentekvationen medurs för att få rätt tecken på -koordinaten, var noga med att båda de påförda momenten ska motverka rotation. Tror det blivit teckenfel på sista parentesen i facit.
D4NIEL skrev:Fjädrarna strävar efter att hålla bilen någorlunda vågrät. Det innebär att förskjutningar från jämviktsläget () ska motverkas. När bilen vrids medurs som på uppgiftsbilden ska fjäder f minska sitt momentbidrag samtidigt som fjäder r ska öka sitt momentbidrag. I din föreslagna ekvation verkar det vara tvärtom.
Teckna momentekvationen medurs för att få rätt tecken på -koordinaten, var noga med att båda de påförda momenten ska motverka rotation. Tror det blivit teckenfel på sista parentesen i facit.
okej då förstår jag.
Nu blir jag dock osäker på om jag gjort rätt med den vertikala jämvikten. Ska jag ta den uppåt eller nedåt eller spelar det ingen roll? Jag rog den nedåt och fick rätt (med fräderkrafterna riktade uppåt). men gör man jämvikten uppåt blir det teckenfel jämfört med facit. Rätt svar där ska vara