2
svar
256
visningar
Mekanik : En gammal tenta jämvikt
Hej! Jag har fastnat på en gammal tenta uppgift och undrar om det någon som har gjort det tidigare.
Hur ska man börja tänka, beräkning? Jag skulle verkligen behöva hjälp, tack snälla!

Som vanligt så gör man en friläggning och sätter upp lämpliga jämviktsekvationer. Gör ett försök och lägg upp en bild.
PATENTERAMERA skrev:Som vanligt så gör man en friläggning och sätter upp lämpliga jämviktsekvationer. Gör ett försök och lägg upp en bild.

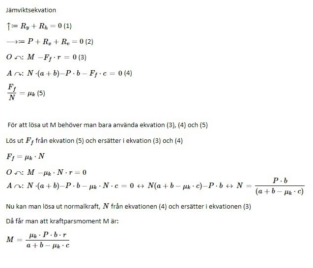
och här vad jag gjorde
