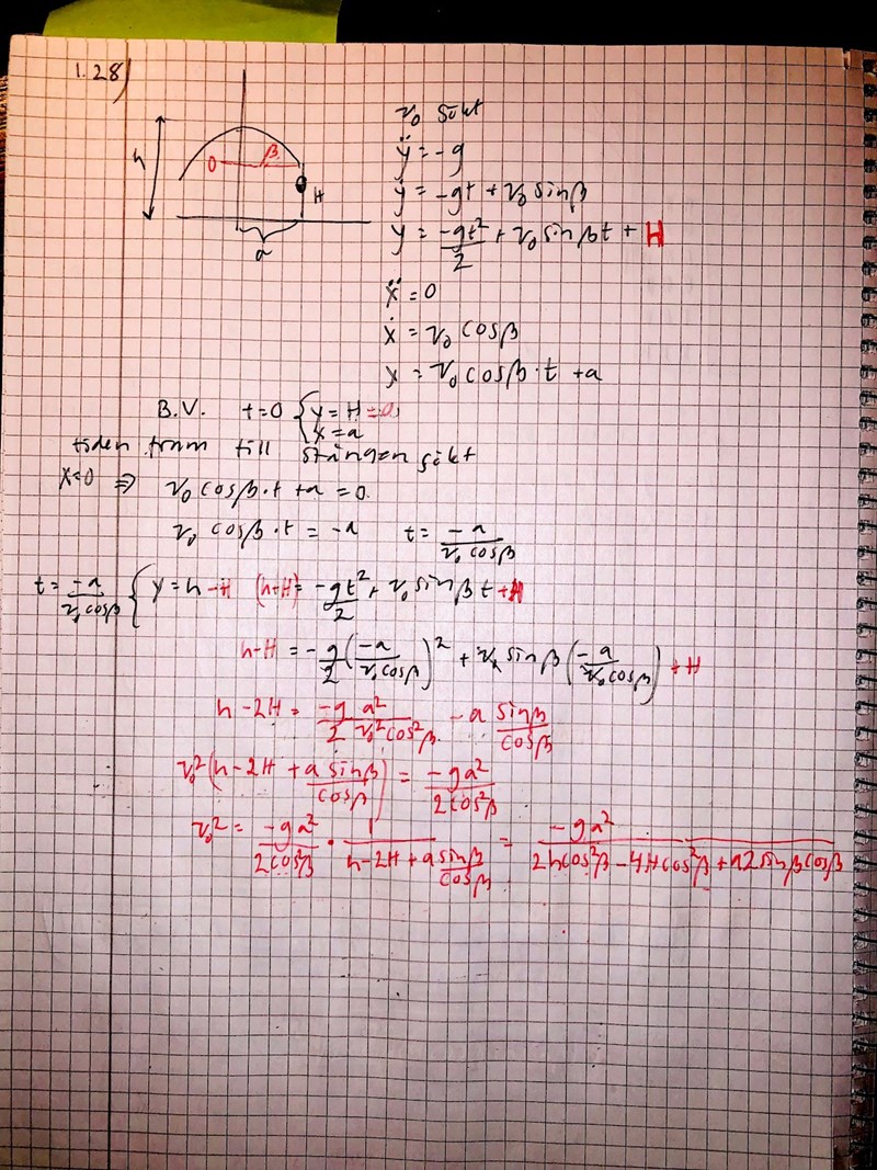
Mekanik ”en höjdhoppare klarar höjden h”
Hej! Jag håller på att lära mig olika koordinatsystem och detta är en introduktionsuppgift till detta. Jag har kört fast på att jag inte riktigt vet hur jag ska göra för att få fram rätt svar. Hur jag har tänkt är att jag har räknat ut tiden då X=0 alltså när höjdhopparen har förändrats sträckan a i X-led. Sedan har jag använt tiden för detta och stoppat in den i formen för y då y=h. Men jag får ej fram samma svar som boken. Tacksam för hjälp!


här är det givna svaret. Har jag tänkt fel med H och h?
Aorta skrev:Hej! Jag håller på att lära mig olika koordinatsystem och detta är en introduktionsuppgift till detta. Jag har kört fast på att jag inte riktigt vet hur jag ska göra för att få fram rätt svar. Hur jag har tänkt är att jag har räknat ut tiden då X=0 alltså när höjdhopparen har förändrats sträckan a i X-led. Sedan har jag använt tiden för detta och stoppat in den i formen för y då y=h. Men jag får ej fram samma svar som boken. Tacksam för hjälp!
här är det givna svaret. Har jag tänkt fel med H och h?
På universitetsnivå är det ofta så att det tar längre tid att skriva om svaret så att det ser ut i facit än vad det gjorde att räkna ut det.
Börja med att skriva om dina uttryck med trig.funktioner så att de bara beror på a och h-H. I bästa fall ser dit svar ut som facit när du har gjort det, annars får vi krångla lite till!
Tack för tipset! Ska tänka på det. Nu har jag tänkt om så att utgångsläget H är startpunkten och fått ett uttryck med h-H. Nu har jag kört fast igen och kommer inte vidare i mina räkningar
Du beöver beskriva utförligare vad det är du gör, jag hänger inte med i det du skriver.
Facit verkar utgå ifrån en rätvinklig triangel med sidorna a, h-H och v0.
Först har jag skrivit ut för sträcka hastighet och acceleration i x- led och yled. begynnelsevillkoret då t=0 är x=a samt y=H. Jag tänker att jag ska räkna ut hur lång tid det tar för höjdhopparen tills hen är precis över stången, alltså i Maxläget. Jag vet att i detta läget är x=0. Jag har då kunnat få ut ett värde för tiden detta läget. t=-a/(vcosB).
Detta värdet för tiden har jag stoppat in i funktionen för y. Jag vet att i detta läget är y=h. Härifrån har jag försökt lösa ut v. 
Aorta skrev:Först har jag skrivit ut för sträcka hastighet och acceleration i x- led och yled. begynnelsevillkoret då t=0 är x=a samt y=H. Jag tänker att jag ska räkna ut hur lång tid det tar för höjdhopparen tills hen är precis över stången, alltså i Maxläget. Jag vet att i detta läget är x=0. Jag har då kunnat få ut ett värde för tiden detta läget. t=-a/(vcosB).
Vad är den vertikala hastigheten i det högsta läget?
Jag skulle också rekommendera dig att studera den mekaniska energin precis när man lämnat marken och precis när man är i översta läget. Det ger dig ytterligare ett samband.
Det hade jag missat. Den är 0 i översta punkten. Nu har jag fått fram svar som börjar närma sig känns det som. Jag får dock fram olika uttruck när jag räknar med x och y men det behöver ju inte vara olika när det är olika konstanter.
Så här har jag gjort: först har jag räknat ut tiden i det högsta läget genom att jag vet att hastigheten i y led är noll då. Denna tiden har jag stoppat in i formelm för X och i formeln för y då jag vet att x=0 i detta läget och y=h. Jag har fortfarande kvar sinusuttrycken i mina svar och vet ej hur jag ska skaka av mig dem?
Om du tycker det är krångligt att räkna med vinkeln kan du ansätta utgångshastigheten
En energibetraktelse från startpunkt till tidpunkten då tyngdpunkten passerar ribban
Du vet också att samt vilket ger sambandet (sätt )
Löser man slutligen ut ser man att
Om du jämför med din lösning är alltså och .
Nu är jag med! Tusen tack för all hjälp!
