1
svar
124
visningar
Luffy behöver inte mer hjälp
Mekanik - Friktionsarbete tecken
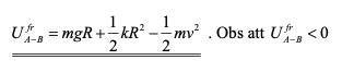
Hej, se svar för en uppgift där man ska ta fram friktionsarbetet. Hur kommer de fram till att friktionsarbetet är negativt? Man har inte fått några värden på m,g,R,v,k. Gäller det alltid att friktionsarbetet är negativt, och isåfall varför?

Ja, friktionsarbetet är ju energiförluster. Därav minustecknet.
Friktionen kan ju inte heller utföra något arbete ensamt. En sak placerad på ett underlag med friktion börjar ju inte plötsligt att röra på sig p.g.a friktionen.