4
svar
97
visningar
Baq1 behöver inte mer hjälp
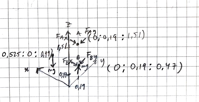
Mekanik, friläggning och jämvikt
Visa spoiler
Skriv ditt dolda innehåll här
svaret ska bli 237 N i vardera. Jag får det till:

Vad gör jag för fel? Friläggningen?
Du får väl samma belopp som facit.
Facit får, som jag tolkar det, Fax=Fay=Fbx=Fby=237 N. Får isåfall ej samma belopp
Frågan gäller beloppet samt beloppet . Det verkar osannolikt att facit skulle svara med något helt annat? Har du en bild på facit?
Du har ju fått
Då förstår jag, my bad! Glömde för 1 sek att beloppet är kraftresultantan😅
Tack!