Mekanik/Fysik- Friktion i jämvikt
Hej!
Precis börjat läsa mekanik så har fortfarande svårt att veta hur jag skall bära mig åt.
Har denna uppgiften och undrar om jag har frilagt på rätt sätt samt hur man skall tänka vid jämviktekvation? med (((tanke på att den är "sned"? skall jag då se det som et lutande plan och ändra vinkeln?)))


Tack i förhand!! :)
Du måste ansätta att tyngdkraften mg verkar i tyngdpunkten/masscentrum. Annars ser det bra ut.
PATENTERAMERA skrev:Du måste ansätta att tyngdkraften mg verkar i tyngdpunkten/masscentrum. Annars ser det bra ut.
Ja tänkte så med från början .tack.
tänker även lite på hur N är placerad, med tanke på att om Mg och N har samma verklinglinje skulle det uppstå kraftmoment? om jag inte har fel..
N skall placeras där skivan har kontakt med underlaget. N är vinkelrät mot underlaget.
Om du sätter mg i masscentrum så har N och mg inte samma verkningslinje, så det blir ett moment.
Du kan sätta upp tre jämviktsekvationer. Två kraftekvationer och en momentekvation.
Börja med att räkna ut var masscentrum ligger.
PATENTERAMERA skrev:Du kan sätta upp tre jämviktsekvationer. Två kraftekvationer och en momentekvation.
Börja med att räkna ut var masscentrum ligger.
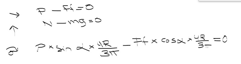
Masscentrumet ligger vid 4R/3*pi.
Skall jag ta hänsyn till vinkeln Vid F samt friktionskraften när man ställer upp en jmvk ekvation? tänker på att F redan är horisontell gentemot underlaget.
Nej, du behöver inte ta hänsyn till vinkeln när du sätter upp kraftekvationer. Men den kommer in när du sätter upp momentekvation.
PATENTERAMERA skrev:Nej, du behöver inte ta hänsyn till vinkeln när du sätter upp kraftekvationer. Men den kommer in när du sätter upp momentekvation.

Kan detta stämma eller har jag vrängt på något?
Tack för att hjälp
Det där ser inte rätt ut. Du får nog rita en bättre, mer noggrann figur så att du förstår vilka avstånd det rör sig om. Sedan, med den där uppställningen skulle du ha ännu en komponent för P. Friktionskraften skulle inte ens vara med då den så klart verkar i kontaktpunkten du nu verkar ta moment kring.
Sedan skrev PM:
Om du sätter mg i masscentrum så har N och mg inte samma verkningslinje, så det blir ett moment.
Trots detta är inte mg eller N med i momentekvationen.
Ebola skrev:Det där ser inte rätt ut. Du får nog rita en bättre, mer noggrann figur så att du förstår vilka avstånd det rör sig om. Sedan, med den där uppställningen skulle du ha ännu en komponent för P. Friktionskraften skulle inte ens vara med då den så klart verkar i kontaktpunkten du nu verkar ta moment kring.
Sedan skrev PM:
Om du sätter mg i masscentrum så har N och mg inte samma verkningslinje, så det blir ett moment.
Trots detta är inte mg eller N med i momentekvationen.
Okej så till komponent för P i momentet? och utesluta friktionskraften där helt då de är i samma verkningslinje som momentpunkten?
Hade vart super snällt om du vill förklara vad det är som ev saknas.
Tack!
Skall såklart stå 4R i bilden)))))
Det där är fel, det är 4r/3π från andra hållet. Sedan kan omöjligt tyngdkraften vara till höger om kontaktpunkten, då skulle den välta.
Du borde anstränga dig mer med dina figurer. Denna ritade jag på telefonen nu:

Oavsett vilket program du sitter i kan du göra en korrekt cirkel. Sedan är det enkelt att göra en semicirkel. Jag förstår inte varför du inte använder programmets verktyg. Nog om det. Kolla på min figur så förstår du kanske var du gjort fel.
Ebola skrev:Det där är fel, det är 4r/3π från andra hållet. Sedan kan omöjligt tyngdkraften vara till höger om kontaktpunkten, då skulle den välta.
Du borde anstränga dig mer med dina figurer. Denna ritade jag på telefonen nu:
Oavsett vilket program du sitter i kan du göra en korrekt cirkel. Sedan är det enkelt att göra en semicirkel. Jag förstår inte varför du inte använder programmets verktyg. Nog om det. Kolla på min figur så förstår du kanske var du gjort fel.
Ne vet mina figurer är inte dem bästa men försöker, väldigt ny på mekanik och dessvärre inte tillgång till lärare på samma sätt som innan ..
Men tack!
Tycker du att man skall använda /sätta moment punkten vid masscentrum eller vid angreppspunkten för kraften P?
tack för allt...
fizzedz skrev:Ne vet mina figurer är inte dem bästa men försöker, väldigt ny på mekanik och dessvärre inte tillgång till lärare på samma sätt som innan ..
Jag förstår. Det viktiga är bara här att du tar dig tid att försöka få med de viktiga detaljerna i figuren. Det är nämligen figurerna som oftast gör att det blir fel. Problemen inom grundläggande mekanik handlar ofta väldigt mycket om att förstå geometri och ha ett öga för sådant. Därför kan det alltid vara bra att repetera gymnasiematten om du har möjlighet till det.
Tycker du att man skall använda /sätta moment punkten vid masscentrum eller vid angreppspunkten för kraften P?
Jag skulle ta vid kontaktpunkten där normalkraften och friktionskraften angriper.
Ebola skrev:fizzedz skrev:Ne vet mina figurer är inte dem bästa men försöker, väldigt ny på mekanik och dessvärre inte tillgång till lärare på samma sätt som innan ..
Jag förstår. Det viktiga är bara här att du tar dig tid att försöka få med de viktiga detaljerna i figuren. Det är nämligen figurerna som oftast gör att det blir fel. Problemen inom grundläggande mekanik handlar ofta väldigt mycket om att förstå geometri och ha ett öga för sådant. Därför kan det alltid vara bra att repetera gymnasiematten om du har möjlighet till det.
Tycker du att man skall använda /sätta moment punkten vid masscentrum eller vid angreppspunkten för kraften P?
Jag skulle ta vid kontaktpunkten där normalkraften och friktionskraften angriper.
Hej igen , får man fråga varför du tar valet av momentpunkten där normalkraften och friktionskraften angriper ? Kan man isåfall "utesluta " de två krafterna...
Ja, de har inga momentarmar kring denna punkt och generar därför inget moment.
Hej hur går man vidare efter detta?