0
svar
620
visningar
Mekanik II, relativ rörelse - beräkna hastighet och acceleration

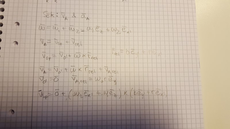
Hej, arbetar med figur som syns ovan och ska, för just detta ögonblick, beräkna hastigheten och accelerationen hos punkten A. Så här långt har jag kommit hittills:

Dock vet jag inte hur jag ska behandla en kryssprodukt (sista raden) mellan två olika koordinatsystem, xyz och x'y'z'. Eller har jag valt fel enhetsvektorer? gavs i uppgiften så den vet jag är rätt.