Mekanik, jämnvikt / moment
Hej,
Skulle behöva hjälp att förstå vart jag tänker fel i uppgift B. Jag tänker att jag behöver veta vad de stabiliserande momentet är ifrån tyngdpunkten samt stjälpande moment i punkt A.
Jag ska räkna ut vid vilken kraft (F) klockan välter och då behöver stjälpande moment > stabiliserande moment.
Har delat upp krafterna i komposanter och förstår inte varför jag inte får rätt svar.


Hej och välkommen till PA!
Om det är intervallet för jämnvikt du beräknar, så saknar jag friktionen:
Hej!
Nu tänker jag högt, men det kanske kan vara till hjälp ändå?
Friktionen borde inte behöva tas hänsyn till, så länge den är stor nog att glidning inte sker. Tänk att klockan är fastskruvad med gångjärn i A (texten beskriver ett "stopp").
Jag tänker mig att F måste vara tillräckligt stor för att knuffa upp klockan till det läge att tyngdpunkten hamnar lodrätt ovanför "gångjärnet".
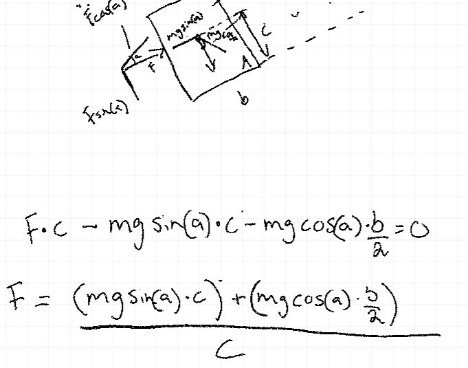
Lyckades lösa uppgiften genom att beräkna såhär: 
Bra!
Försök att visa med figuren också de olika komposanterna, och bidragen till momentjämvikt. Då blir det lättare för läsaren att förstå hur du tänkte.
(Uppenbarligen tänkte jag fel, vilket nu i efterhand känns självklart. Såklart krävs mest kraft för att starta rotationen. Inte för att komma förbi "tipping point")