1
svar
134
visningar
Mekanik- jämviksekvationer i 3d


Hej!
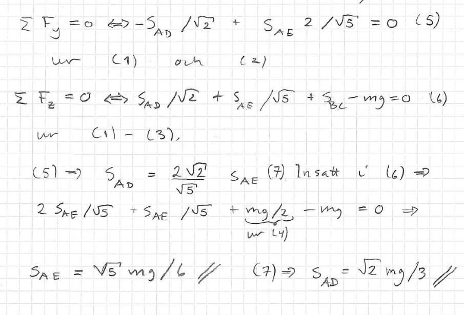
Jag undrar vad kommer ifrån och hur man komposant-uppdelade AE och AD.
Jag har räknat alla krafter som vektorer, men förstår alltså inte hur man gjorde med jämviktsekvationerna.
Någon som förstår det?
Det är bara trigg.
