Mekanik, jämvikt: Bestämma spännkraft och reaktionskraft
Hej!
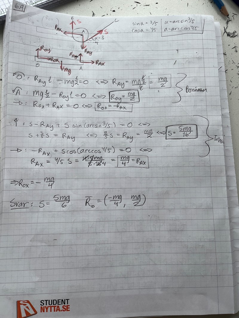
Jag kör fast och vet inte riktigt hur jag ska göra. Här är uppgiften och mina två försök till lösning:


Kan man förutsätta att bommen l hänger parallellt med ”taket” BC?
Om man gör en mer detaljerad friläggning där man frilägger bommen och trissan separat så kanske det blir enklare.
Visa spoiler

Jan Ragnar skrev:Kan man förutsätta att bommen l hänger parallellt med ”taket” BC?
Ja, det tror jag!
PATENTERAMERA skrev:Om man gör en mer detaljerad friläggning där man frilägger bommen och trissan separat så kanske det blir enklare.
Visa spoiler
Hur vet jag att det är samma S i de båda snörena?
Felaktigt svar under spoiler.
Felaktigt svar
Majskornet skrev:Hur vet jag att det är samma S i de båda snörena?
Det vet du egentligen inte på grund av sparsmakad information men du får anta det. Ekvationen för spännkraft över en trissa beror på friktionen mellan rep och trissa, som inte är given.
Det står att trissans led är glatt, så trissan kan inte ta upp något moment kring leden. Spännkraften måste därför vara konstant längs repet.
Okej, tack!
Hur ska jag tänka för att inse att P angriper i A? Kan jag tänka att spännkraften påverkar på trissan, som sen påverkar bommen i A?
Jag kommer inte riktigt vidare 🥲
Eftersom trissan sitter fast i bommen i A med en led så måste det finnas någon kraft på bommen från trissan och en motsvarande motkraft från bommen på trissan. Jag kallar kraften för P.
Majskornet skrev:Jag kommer inte riktigt vidare 🥲
Bra. Sedan sätter du upp kraftjämvikt för trissan.
Tack så hemskt mycket!! Nu tror jag att jag löste det. Har du något generellt tips för hur man inser hur man ska göra?
1. Snitta och frilägg; märk ut alla kända krafter och moment. Märk också ut okända reaktionskrafter och moment från stöd och infästningar samt överförda krafter och moment från andra friläggningar.
2. Ställ upp statiska jämviktsekvationer, kraftjämvikt och momentjämvikt
3. Lös eventuella ekvationssystem, gör en rimlighetsuppskattning och dimensionsanalys av dina svar.
Tråkigt svar. Öva på många exempel och tänk på friläggningen. Samla därmed på dig erfarenhet och lite känsla för hur man gör.
Det är också bra om man kan hitta lite redan lösta exempel som man kan titta på och få lite hintar om hur man kan jobba med problemen. Tex gamla tentor eller om man kan hitta alternativ kurslitteratur på biblioteket eller online.
Man kan även försöka lära sig lite alternativa metoder som energimetoder, virtuella arbetets princip eller Kanes metod. Det kan ibland ge snabbare och enklare lösningar än metoden med friläggning.
PATENTERAMERA skrev:Det står att trissans led är glatt, så trissan kan inte ta upp något moment kring leden. Spännkraften måste därför vara konstant längs repet.
Har ledens glatthet överordnad betydelse i jämförelse med friktion mellan rep och trissa?
Det kanske är så att leden måste kunna uppta moment för att spännkraften ska kunna variera? Märkligt. Friläggning av ett rep-element verkar inte avslöja det.
Edit:
Oj, det är klart. Annars hade inte det större systemet varit i jämvikt. Säger sig självt att de måste vara lika då.
Tack för hjälpen från er alla!!