5
svar
147
visningar
Qetsiyah behöver inte mer hjälp
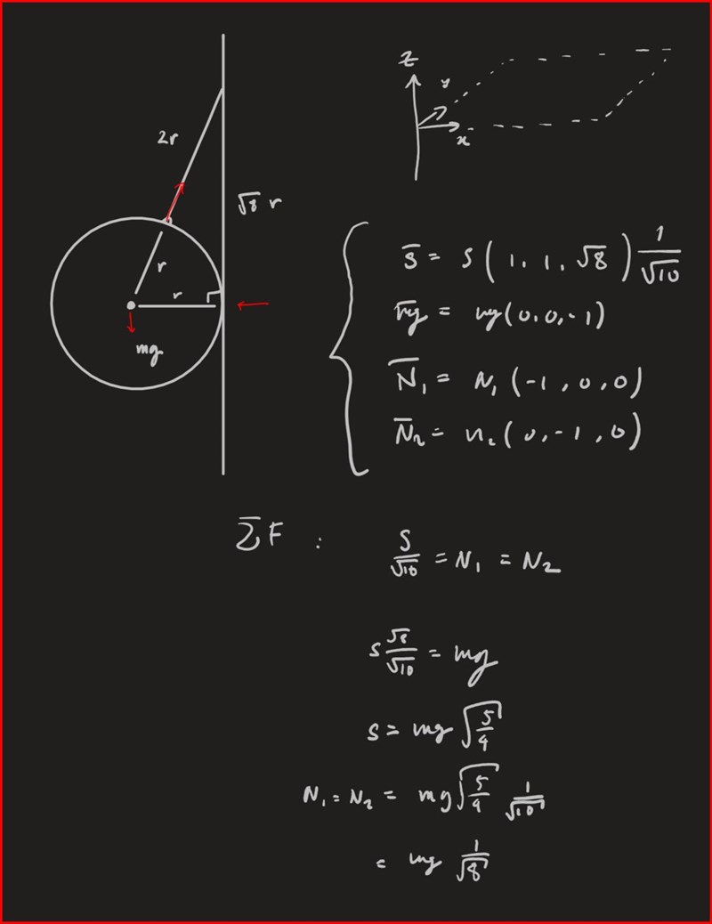
Mekanik: jämvikt, upphängt klot
Hej, se:

Men min lösning ger :

Finn mitt fel, eller ännu hellre säg att facit är fel.
Qetsiyah skrev:Hej, se:
Vad är det vi skall se? Det är helt tomt!
Ge mig några minuter, jag brukar skriva inlägget på datorn men ta korted mobilen
Du verkar bara ha tagit med ena radien ut från väggen. Det faktiska avståndet från mitten på klotet till z-axeln i hörnet är sqrt(2)*r.
Yes, jag kom på det nu också, tack!
Qetsiyah skrev:Ge mig några minuter, jag brukar skriva inlägget på datorn men ta korted mobilen
Jag brukar göra tvärtom, ta bilden först och skriva på datorn efteråt.