Mekanik, kinematik, cylindriska kontra kartesiska koordianter
Hej! De vill som beskrivet att man ska projicera hastigheten och accelerationen i xy-planet. Det jag inte förstår är varför jag inte bara kan sätta in värdena på theta i de olika punkterna direkt i mina funna uttryck? Det blir rätt svar.



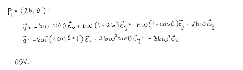
Facit:

ED: 
Inser nu att jag får omvänt tecken på många ställen. Vad gör jag för fel?
Enklast är väl att noterat att
Osv.
Notera att du kan inte göra skalärprodukten på det sätt som du gör. Den första vektorn är komponenter relativt cylinderkoordinater den andra är komponenter relativt kartesiska koordinater. Detta sätt funkar bara om du har båda vektorerna uttryckt relativt samma koordinater (ON-bas).
Hur gick det? Kom du vidare?
Okej då förstår jag vad jag gör för fel. Jag satte er= (cosx, sinx, 0) och etheta=(-sinx, cosx, 0) och då blev det bra. Tack för hjälpen