0
svar
351
visningar
Mekanik - Knutpunktsmetoden av fackverk

Uppgiften lyder på detta vis:

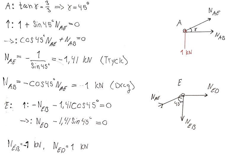
Jag har här hittat de externa krafter.

NEB och NED är i facit tvärtom, dvs. NED är negativ. Jag har försökt att göra om uppgiften men förstår inte mitt fel. Tack!
(Alltså mitt problem ligger i knutpunkt E)
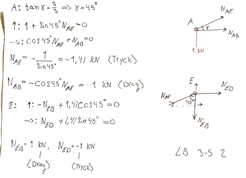
-REDIGERING-
Jag har nu löst det som jag frågade efter efter en sista koll, visade sig att jag hade gjort ett fel med pilarna.


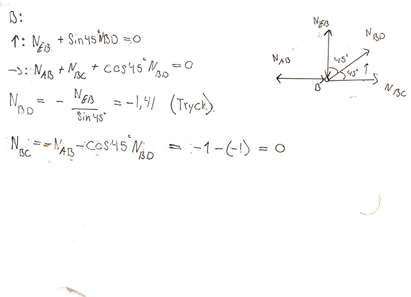
Jag har dock ett annat nytt liknande problem och tänker att jag lägger in detta här :)
NBC skall vara 2 kn men jag får 0 kN eftersom 1 kn + (-1 Kn) =0, alla okända i beräkningen (förutom NBC) är definierade så jag tror inte det är ett riktningsfel. Skulle uppskatta hjälp. Tack!
(mitt problem gäller nu knutpunkt B)