Mekanik - Komponent eller komposant

Jag förstår att skillnaden mellan en komponent och en komposant är att en komponent är en skalär medans en komposant är en vektor, mitt problem gäller de sista delarna av uppgiften.

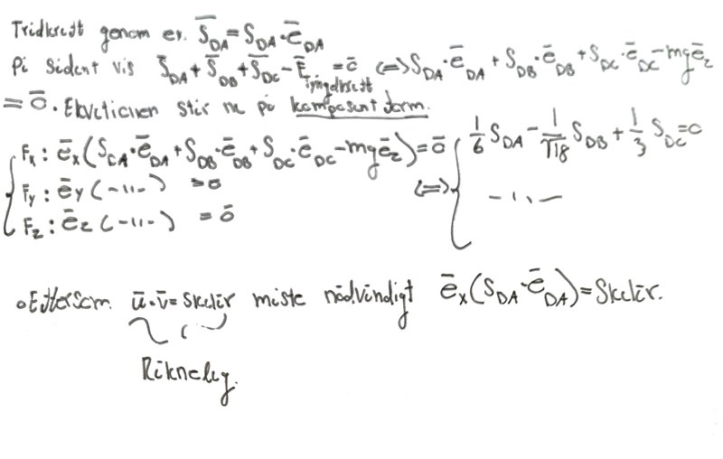
Den här delen gör mig förvirrad eftersom det verkar som att visa är skrivna i fetstil och vissa inte, ex. SDA eller SDC. Jag antar själv att alla termer borde vara i fetstil, dvs. det är en vektorekvation där additionen / subtraktionen av alla skalärer ska vara noll, men i detta fallet borde ju inte nollan vara i fetstil eftersom VL inte blir en vektor.
Oftast skrivs vektorer i fet stil. Tanken är nog att S:en som står tillsammans med e:en inte ska vara i fetstil då dessa är skalärer.
Eftersom att VL består av termer som alla är vektorer måste HL vara en vektor. Kom ihåg att alla e är vektorer.
Okej tack!
Jag hade bara en fråga angående det sista i problemlösningen också, nämligen komponentform som bildar en linjärt ekvationssystem

Jag bar om ursäkt över att det är lite suddigt med det är mest det absolut sista på mitt papper som jag undrar om det är korrekt. Jag kan inte helt förstå hur skiftet mellan komposant och komponent form sker eftersom det "typiska" draget för komponent form är men detta verkar inte vara lika enkelt här då vi inte har F