3
svar
167
visningar
Mekanik: masscentrum
Hejsan!
Håller på med en ganska simpel uppgift och jag vet att det finns en liknande i gruppen. Men jag ska sätta ut masscentrum på figuren.
Jag vill bara få hjälp att förstå vad jag egentligen gör.
Jag har börjat med att dela upp figuren i 3 och sen tagit fram arean för dessa:
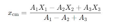
Nästa steg är att sätta ut tyngdpunkt på alla tre figurer, vilket blir:
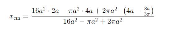
Så ett alternativ med insatta värden blir: 
Tack på förhand!
Eftersom hela halvcirkeln ligger till höger om kvadraten så måste halvcirkelns masscentrum ligga till höger om kvadraten. Så du måste få ett x-värde som är större än 4a.
Ja, det ser rätt ut.