Mekanik - Maximal hastighet (acceleration)


Frågan gäller uppgift 4.
För att kunna använda mekaniska energisatsen för att räkna fram maximal hastighet behöver jag räkna ut x.
Rörelseekvation ger: kx-mg=ma ->
Från lösningsförslaget vet jag att a=0, men jag lyckas ej lösa det från ledning i text eller samband vdv=adx, dv=adt.
I lösningsförslaget konstaterar de (istället för att ta fram a) att
Hur vet jag att dK/dx = 0?
Energisatsen säger väl att
Kinetisk energi T plus potentiell energi V är lika med konstant E.
T + V = E.
Hastigheten är som störst då den kinetiska energin är som störst, vilket händer då den potentiella energin är som lägst.
Tmax = E - Vmin = V0 - Vmin.
V0 = potentiell energi vid tiden noll, och eftersom systemet är i vila vid tiden noll så har vi att V0 = E.
Hjälper det?
PATENTERAMERA skrev:Energisatsen säger väl att
Kinetisk energi T plus potentiell energi V är lika med konstant E.
T + V = E.
Hastigheten är som störst då den kinetiska energin är som störst, vilket händer då den potentiella energin är som lägst.
Tmax = E - Vmin = V0 - Vmin.
V0 = potentiell energi vid tiden noll, och eftersom systemet är i vila vid tiden noll så har vi att V0 = E.
Hjälper det?
Nä jag känner tyvärr inte att det blev tydligare.
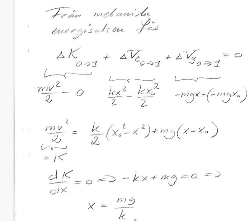
Jag är med på att ekvationen blir som den blir för mek.energisatsen enligt lösningsförslaget:
Det jag inte förstår är var dK/dx=0 kommer ifrån utifrån ledning i uppgift. Jag förstår alltså inte logiken bakom hur man löst ut x.
Och om jag "själv" försöker lösa ut x så vet jag inte hur jag i sin tur får ut att a=0.
Det är helt enkelt så att hastighetens belopp (farten) är störst när accelerationen är noll i en svängningsrörelse.
OK.
Vi har att
K + V = K0 + V0 = 0 + V0 = V0, vilket ger att
K = V0 - V = k(x02 - x2)/2 + mg(x - x0)
Vidare vet vi att farten är som störst då den kinetiska energin är som störst.
Eftersom den kinetiska energin är en dervierbar funktion av tiden så gäller det att
, när den kinetiska energin har ett (lokalt) extremvärde (max eller min).
Vi kan nu använda kedjeregeln
,
så om så gäller det att eller att =0. I det senare fallet så är farten noll, och den kinetiska energin är då minimum. Så om den kinetiska energin är max så måste vi ha att
I detta fall så har ekvationen bara ett x-värde som lösning så den kinetiska energin måste vara max för detta värde på x.
När vi vet den maximala kinetiska energin så kan vi enkelt beräkna den maximala farten.
STORT tack för denna förklaring, äntligen föll polletten ner!