2
svar
130
visningar
Aorta behöver inte mer hjälp
Mekanik partikelsystem
Hej!
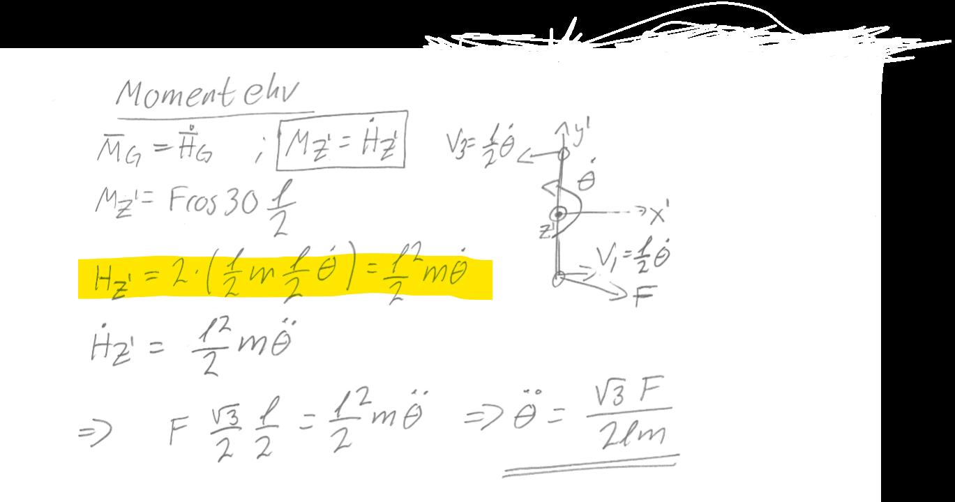
Jag förstår ej var det gulmarkerade steget i lösningsförslaget kommer ifrån. Är det formeln ? Hur kommer de i så fall fram till det?



Du behöver på något sätt beräkna rörelsemängdsmomentet kring tyngdpunkten.
Eftersom massorna är små kan du se dem som punktpartiklar.
En punktpartikel på avståndet från rotationscentrum bidrar med tröghetsmomentet . Partikeln i masscentrum bidrar inte. Vi får alltså
Du kan också se det som att vardera punktmassa (förutom den i centrum) bidrar med till , där hastigheten är . Du får då naturligtvis samma uttryck
Ursäkta sent svar! Tack för hjälpen!