Mekanik pendel
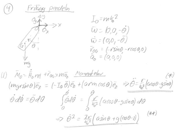
Hej! Jag tänkte lösa denna uppgiften utan att lösa då det ej är min favorit. Jag tänker att energin bevaras och får på så vis ett uttryck för men jag kommer ej fram till samma värde som lösningsförslaget gör. Var tänker jag fel? Frågan gäller bland mina beräkningar sektionen längst ner.


Energin bevaras inte. Den accelererande vagnen ger pendeln energi.
Hm. Då blir det kanske svårt att räkna som jag har försökt. Finns det någon annan bra lösning där jag tar hänsyn även till accelerationen? Annars får jag kanske får bita i det sura äpplet och läsa in mig bättre på den typen av integraler.
Jag tycker själv det är lättare att inse med integrerande faktor.
Säg att vi har ekvationen
.
Låt F(y) vara en primitiv funktion till f(y).
Vi multiplicerar båd led med .
, integrera båda sidor
.
Tack! Jag kommer såhär långt men får ej samma som de får i lösningsförslaget. De får i sista termen och jag saknar minusettan. Kan det ha att göra med konstanten som kommer när en integrerar? Hur tar jag reda på den?
= - .
Tack för hjälpen!