Mekanik plant länksystem
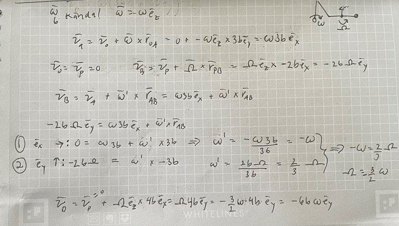
Hej! Jag får inte helt rätt på den här uppgiften. Hur jag gjort är att jag använt denna formeln och jobbat mig igenom systemet från O till D. Jag har tänkt att vinkelhastigheten måste va samma kring O och kring P men motriktade. Jag har satt vinkelhastigheten kring O till -. Rätt svar ska vara och jag får det till 9 istället för 6.


Reality check.
vA borde vara riktad till i positiv x-riktning och vB i negativ y-riktning. Se figur + fysikalisk intuition. Så här har något gått fel.
Sedan antar du att alla stänger har samma vinkelhastighet utan någon som helst motivering. Var inte så generös med dina antaganden.
Det har du rätt i. Anledningen till att jag satte vid O till negativ är pga koordinatsystemet. X- axel åt höger och Y-axel uppåt är givna och då får jag Z till att komma rakt ut ur skärmen. Sen vill jag minnas att moturs är positiv riktning, men det kanske jag har fått om bakfoten.
Min motivering till antagandet om lika vinkelhastigheter var att A och B är förenade med en stel stång och därför måste ha samma fart, men nu när du påpekar det förstår jag att de ej har samma vinkelhastighet. Beror det på att de är olika långt ifrån centrumet de snurrar kring?
Sedan kan vi ansätta vinkelhastigheten hos stången BD som .
.
Om du kallar vinkelhastigheten hos stången AB för så kan du sätta upp ytterligare ett samband
, vilket måste vara förenligt med uttrycket för som togs fram ovan.
Tusen tack! Nu är jag med på tänket. Jag får ut rätt svar med fel tecken. Jag har tagit de båda uttrycken för och sen löst ut genom att dela upp det i riktningen för x och för y. På så vis har jag kunnat eliminera .Sen har jag stoppat in detta i formeln . Blir det fel när jag delar upp det i x- och y-led? Jag tycker att det borde bli samma sak.
Vi ansätter .
-2b=
, vilket implicerar att
och .
Här är ett trick som ger alternativ väg till lösning.
.
Vi skalärmultiplicerar båda led med någon någon vektor som är parallell med .
+ 0. Vi kan tex välja .
, vilket implicerar att .
Tack för all vägledning och hjälp!
PATENTERAMERA skrev:Här är ett trick som ger alternativ väg till lösning.
.
Vi skalärmultiplicerar båda led med någon någon vektor som är parallell med .
+ 0. Vi kan tex välja .
, vilket implicerar att .
Vad smidigt! Tack!