2
svar
117
visningar
Farkosten behöver inte mer hjälp
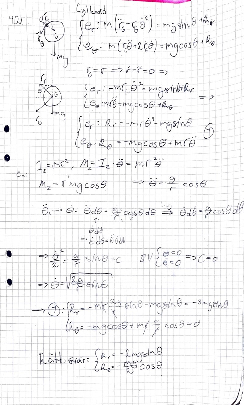
Mekanik reaktionskrafter på ring från axel
Hej!
jag lyckas inte lista ut vad som är fel, ganska säker på att Iz och Mz stämmer men gissar att jag gör något fel i ansatsen med cyl.koord.
hjälp uppskattas!

Iz = 2mr2.
Tillägg: 6 okt 2024 01:54
IG = mr2
PATENTERAMERA skrev:Iz = 2mr2.
Tillägg: 6 okt 2024 01:54
IG = mr2
Glömde visst använda Steiners sats, tack 😄