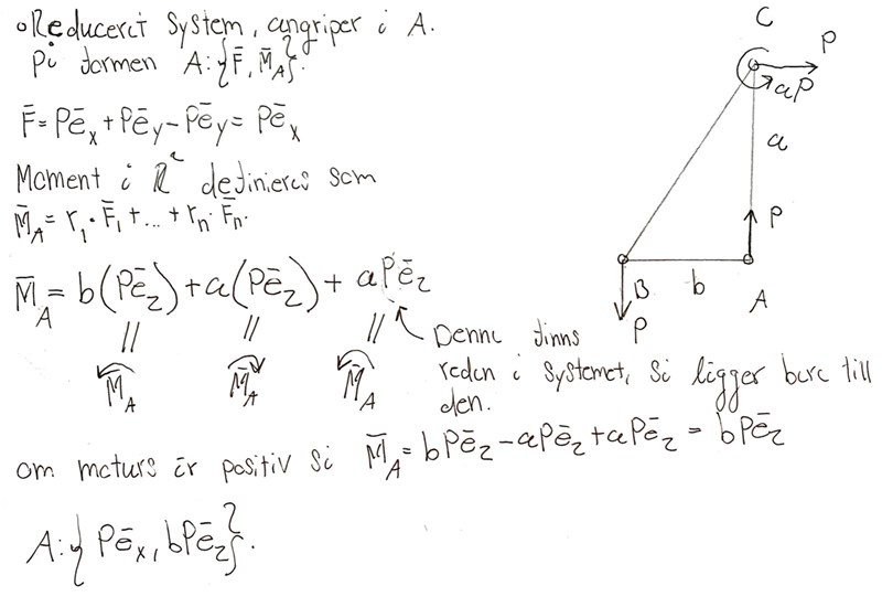
Mekanik - Reducera system i två dimensioner


Jag är lite osäker om denna metod är korrekt så jag vill dubbelkolla. Jag vet att man kan reducera ett kraftsystem till en kraft och ett moment. Jag förstår kraftsumman, det är ganska simpelt men det är momentet som jag främst är osäker om.
Kraftmomentet i två dimensioner kräver inte kryssprodukt, jag skapar momentet från A till B och från A till C, jag lägger sedan helt enkelt in momentet som redan finns vid C. Jag är osäker på varför just ett av momentet är negativa men jag resonerar som jag beskriver på pappret, att just ett av momenten inte är moturs så därför negativt.
Är detta korrekt resonerat? Tack!
Ja, det stämmer, man brukar använd konventionen att "medurs" är negativt kring eftersom det stämmer med definitionen av moment . Alltså får du uppställningen som du själv skrev på slutet:
I vår bild pekar -axeln rakt upp mot oss från pappret. Ställ (eller håll) gärna en penna i A och låtsas att det är en -axel vinkelrät mot pappret. Då vill ju kraften vid B rotera moturs kring axeln (eller runt pennan). Är du med?