2
svar
137
visningar
englar behöver inte mer hjälp
Mekanik - rörelsemängdslagen i naturliga komponenter
Hej! Jag behöver lite hjälp med följande uppgift:

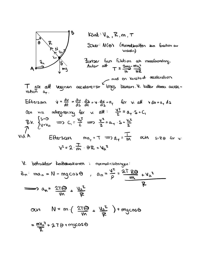
Här är mitt försök till en lösning:

Jag tror jag måste ha gjort något fel i min analys av de krafter som verkar. Uppenbarligen får jag de första två termerna rätt, men med den sista blir det fel. Någon som ser vart jag gör fel? har också lite svårt att se på vilket sätt antagandet om T kommer in, så om någon kan hjälpa med det hade jag också varit tacksam!
Du glömmer att tyngdkraften har komponent tangentiellt till kurvan.
maT = T - mg. Så aT är inte konstant.
PATENTERAMERA skrev:Du glömmer att tyngdkraften har komponent tangentiellt till kurvan.
maT = T - mg. Så aT är inte konstant.
Jamen såklart, tack så mycket!