Mekanik, rotation kring fix axel (+ fråga om studieteknik/kursmaterial?)
Hej!
Har gjort en tråd för samma fråga innan ( https://www.pluggakuten.se/trad/mekanik-rotation-kring-fix-axel/ ) men klar markerade den för ett tag sedan så tänker att jag startar en ny för att den inte ska gå obemärkt.

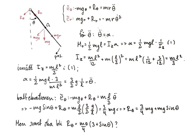
Min lösning:
Och svaret blir fel. Är däremot här inte ute efter tips på hur frågan ska lösas, utan tror jag behöver att någon klart och tydligt berättar vart och vad jag gör fel.
Sedan som bonusfråga:
Jag har läst genom kursmaterialet i denna kursen för många gånger och tycker inte boken är bra alls. Alla frågor i vår kursbok är problemlösning, vilket blir mycket problematiskt för studenter som mig själv som har jättesvårt för mekanik. Dessutom har jag redan skrivit F i kursen fler gånger än jag vågar erkänna, och vill bara bli färdig med den.
Med det sagt kommer det inte göra någon skillnad om jag går tillbaka och övar på frågor från grundkursen i mekanik då jag redan klarat den, och den här kursen endast handlar om accelererande/rörliga system (vilket är vad jag har problem med).
Så: vet någon om det finns andra resurser man kan utnyttja (alltså, "basic" böcker man kan köpa, lätta frågor man kan göra från någon pdf på internet eller liknande) i mekanik på den här nivån ("mekanik fortsättningskurs"/ej grundnivå) som inte är problemlösning? Behöver få öva på grunderna, som typ: hur man hittar ett kraftmoment med tröghetsmoment, och vad kraftmomentet då blir för ett simpelt roterande system osv, och kunna få direkt återkoppling i form av lösningsförslag, vilket min kursbok också saknar.
Mycket tacksam för svar!
Denna är bra tycker jag:
https://youtube.com/playlist?list=PL3403E401C9C029C0&si=RI3s26AC1mzwj10q
Samt:
Du missar att tyngdkraften ger ett moment kring O.
Bonussvar
Skaffa några andra kursböcker, Meriam och Kraige är väldigt bra.
Sedan rekommenderar jag MIT open courseware och deras tillhörande stenciler samt deras föreläsningar som går igenom grunderna mycket bra.
Ja, vi har Meriam och den finns gratis på nätet om du letar lite.
PATENTERAMERA skrev:Du missar att tyngdkraften ger ett moment kring O.
Tack! Jag löste den :)
Även tack till er andra för svaren - problemet är bara det att kursen är i partikelsystem, stel kropp och analytisk mekanik, och tar inte upp grundläggande mekanik eller hållfastighetslära. Jag har redan läst och klarat den grundläggande kursen och inte ens fått behörighet till att läsa hållfastighetsläran då jag inte klarat 'mekanik 2' än... :/
Det som gör fortsättningskurser i mekanik svåra är att man inför nya begrepp samtidigt som man förväntar sig förkunskaper i vissa moment från tidigare kurser. Bland annat förväntas man nog ha koll på:
- Vektoralgebra, till exempel kryssprodukten och koordinatsystem, förstå riktningar och att kunna visualisera vinkelhastigheten som en vektor.
- Enklare differentialekvationer, förmåga att utföra snåriga "mekaniska" räkningar utan att att göra slarvfel.
- Grundläggande mekanik.
- De nya koncepten.
Varje delmoment i sig är kanske inte så svårt, men sammantaget blir det en enda röra. Knepet är då att se till att varje delmoment sitter i ryggmärgen så att den kognitiva lasten minskar. Då kan man istället fokusera på problemlösningen och de nya koncepten.
Försök identifiera vad som gör att du inte lyckas med uppgifterna. Är det slarvfel, krångel med förståelsen? Känns det som du gissar lite i varje uppgift? När du identifierat var det brister är det bara att fokusera på det. Om du är det minsta osäker på åt vilket håll en momentvektor pekar efter en kryssprodukt måste du sätta dig och nöta grundläggande algebra osv.