Mekanik - Tröghetsmoment
Sitter och räknar på tröghetsmoment och för att göra detta har jag ett appendix med olika tröghetsmoment som redan är uträknade.
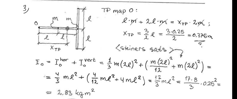
T.ex är tröghetsmomentet för en lång rak stång 1/3*ml^2 eller 1/12*ml^2.
Hur ska jag veta vilket värde jag ska använda?
Som ni ser i facit så har 1/3 använts för den vertikala stången och 1/12 för den horisontella.
Varför används sedan bara steiners sats för den horisontella balken? När och var får man använda denna?


Tygpåse skrev:T.ex är tröghetsmomentet för en lång rak stång 1/3*ml^2 eller 1/12*ml^2.
...
Varför används sedan bara steiners sats för den horisontella balken? När och var får man använda denna?
1/3 eller 1/12 beror på om du vill beräkna tröghetsmoment med avseende på änden eller mitten av stången.
Jag rekommenderar starkt att du försöker härleda de två uttrycken från definitionen.
Steiners sats har på ett sätt använts även för den horisontella balken (1/3 istf 1/12).