Mekanism, korrekta resonansformer?
Hej! :)
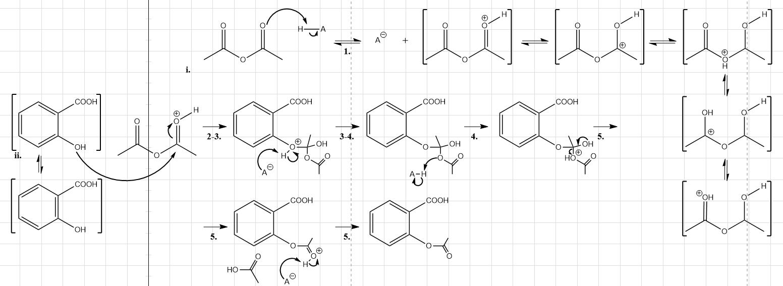
Ska lägga till resonansformer på följande mekanismen jag redan ritat:
Har fått fram detta hitills:
Är resonansformerna korrekta och finns det fler potentiella resonansformer?
Jag vet att laddningar flyttar runt sig för att stabilisera molekylen, men tänker att steg 3-5 är onödigt komplicerade att visa alla resonansformer för? Eller finns det ens resonansformer för dem?
Tack på förhand!
Här är även min förklaring av de olika stegen i reaktionen!


Bump
i. För ättiksyraanhydriden, kan den protonerade formens positiva laddning överbryggas mellan karbonylsyrena genom den extra protonen. Motsvarande via en delokaliserad positiv laddning mellan karbonylsyrena.
ii. Kan du även beskriva genom aromaticitet, som finns kvar genom samtliga reaktioner. Så vill du slippa rita ut dessa två tänkta resonansformler i samtliga steg, kan du nog undvika detta genom att beskriva aromaticiteten istället.
mag1 skrev:i. För ättiksyraanhydriden, kan den protonerade formens positiva laddning överbryggas mellan karbonylsyrena genom den extra protonen. Motsvarande via en delokaliserad positiv laddning mellan karbonylsyrena.
Tack så mycket för svar!!!
Med överbryggningen som du nämner, menar du då som en vätebindning? Alltså inte två kovalenta bindningar till vätet/protonen? Utan intermolekylär bindning till ena karbonylsyret?
Det är en kovalent bindning till det ena karbonylsyret, men protonen kan samtidigt bilda en vätebindning till det andra karbonylsyret. I och med att vätet binder till bägge karbonylsyrena, kan karbonylsyrena mer eller mindre omedelbart skifta sin bindningstyp, mellan kovalen- och vätebindning. Genomsnittligen blir det något liknande ett mellanting mellan dessa bindningstyper. Och något liknande en ring bildas, av den överbryggande protonen.
Dina resonansformer för ättiksyraanhydriden är förresten fel, såg jag nu. Testa att rita ut syrenas fria elektronpar och tänk på att kolen vill ha fyra bindningar (frånsett karbokatjonerna), så ser du nog vilka bindningar som inte stämmer.