Metod
Finns det nån bättre metod att få ut de okända variablerna?
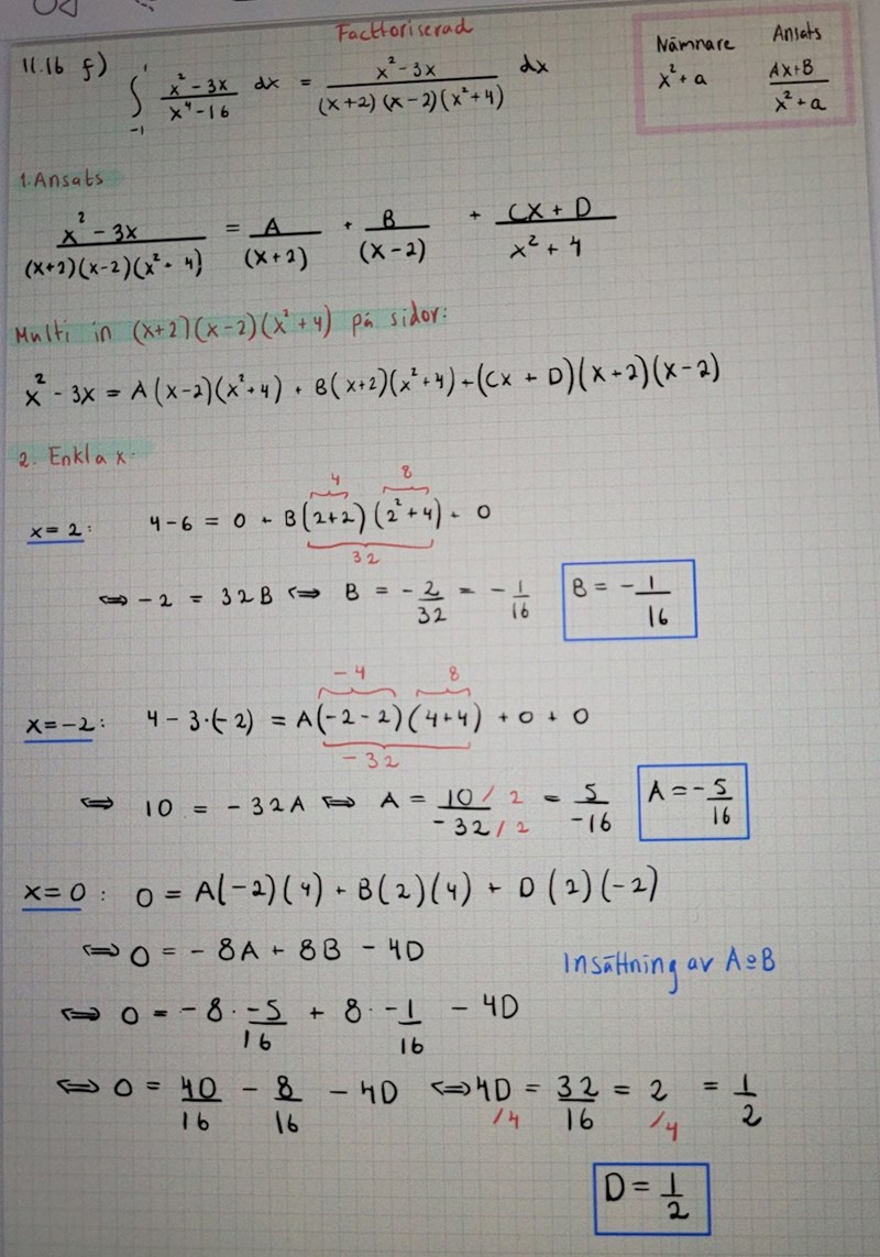
Detta är ett exempel på hur viktigt det är att kontrollera sin lösning.
I uträkningen av har du gjort ett simpelt räknefel vilket sedan har spridit sig till din lösning för och .
När det gäller en 'bättre metod' så beror det på om du behärskar komplexa tal.
Gör du det kan du sätta in en av lösningarna till .
Detta ger en kort men komplex ekvation som du kan dela upp i en reel och en imaginär del.
Lösningen på dem kommer ge dig och .

Jag har nu kontrollerat att de okända variablerna är rätt. Hur kan jag komma vidare?
I 'Med gränser' (1) har du gjort ett räknefel.
I 'Med gränser' (2) har du inte använt absolutbeloppen.
Jag såg just två saker till:
- När du gör variabelbytet så har det blivit fel med de nya gränserna.
Om går mellan -1 och 1 så går mellan 1 och 1.
Alltså inget spann alls.
Alltså är hela integralen lika med noll. - I ditt allra första foto har integranden ett i täljaren på en första raden
men ett i täljaren i den andra raden.
Vilket skall det vara?
Ja, la märke till det med att det skulle gå från 1 till 1 men trodde det var fel. Men då ska jag fixa det och sen återkommer jag

Jag råkade skriva av uppgiften fel så blev tvungen att lösa ut de okända på nytt.


Jag fastnar bara på sista sidan, går det att förenkla mer?
I näst sista raden smög det in ett litet fel.
Sen gör du en lite märklig sak när du stoppar in faktorn 5 inuti logaritmen och höjer upp 3:an. Du borde nog istället bryta ut logaritmen enligt följande:
Du är känner uppenbarligen till regeln:
I detta uttrycket brukar den vänstra sidan räknas som den 'enklare'. Bryt därför hellre ut potenser (även -1) om det kan förenkla det som står inuti logaritmen.