min lösning av en ekvation stämmer inte med facit

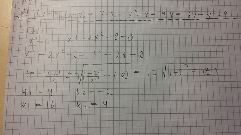
Uppgiften i fråga är 1178, vill bara förtydliga. Hoppas någon kan peka ut vart det har gått snett för mig.
EDIT: enligt facit ska lösningarna vara X1 = -2 och X2 = 2 och uppgiften går endast ut på att lösa ekvationen.
På slutet. Du har att
respektive
Vilka är möjliga värden på ?
Det står inget om vissa möjliga värden, den enda instruktionen jag har fått är "lös ekvationen", dock har jag kommit fram till två nya lösningar för ekvationen.

Jag inser nu att jag upphöjde variblerna t1 och t2 med 2, istället för att ta roten ur dem, fast nu är jag lite förvirrad, eftersom X2 blir ju roten ur -2, bör det inte den andra lösningen till ekvationen då vara 2i?
Troligtvis var man bara ute efter de reella rötterna. Glöm inte att dra roten ur tvåan också ifall du vill ha med samtliga (komplexa) rötter.
För att lösa ekvationer som måste man använda något som kallas komplexa tal.
De dyker upp först i Matte 4.
Yngve skrev:För att lösa ekvationer som måste man använda något som kallas komplexa tal.
De dyker upp först i Matte 4.
Nej, komplexa tal dyker upp redan i Ma2. Yngve tänker nog på hur det var på den tiden man läste MaA - MaB o s v.