9 svar
132 visningar
George04 73 – Fd. Medlem
Postad: 9 jan 2023 01:01

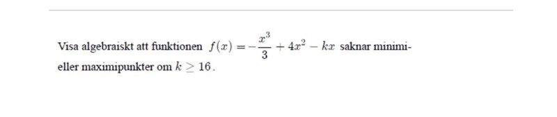
Min. Max. punkter

Hur ska man börja här? Tänker om man ska derivera först eller?!

Marilyn 4014
Postad: 9 jan 2023 01:18

Prova det.

George04 73 – Fd. Medlem
Postad: 9 jan 2023 22:12 Redigerad: 9 jan 2023 22:14
Mogens skrev:

Prova det.

Ja det gjorde jag. Sedan satte jag derivatan lika med noll och insåg m.h.a pq-formeln att diskriminanten blir 16-k. Fast det jag undrar är att om k=16 så får vi 0 då blir det en dubbelrot, men är det större än 16 så saknas det lösningar. Hur ska man tolka det nu då enligt frågan?

Tomten 2053
Postad: 9 jan 2023 22:24
George04 skrev:
Mogens skrev:

Prova det.

Ja det gjorde jag. Sedan satte jag derivatan lika med noll och insåg m.h.a pq-formeln att diskriminanten blir 16-k. Fast det jag undrar är att om k=16 så får vi 0 då blir det en dubbelrot, men är det större än 16 så saknas det lösningar. Hur ska man tolka det nu då enligt frågan?

Tomten 2053
Postad: 9 jan 2023 22:32

Gör teckenstudium av derivatan så ser du extrempunktens karaktär.

Jag vänder mig lite mot problemets formulering. Ska man visa att f saknar SÅVÄL maximi- som minimipunkter eller ska man visa att f saknar minst ENDERA av dem?

George04 73 – Fd. Medlem
Postad: 9 jan 2023 23:03
Tomten skrev:

Gör teckenstudium av derivatan så ser du extrempunktens karaktär.

Jag vänder mig lite mot problemets formulering. Ska man visa att f saknar SÅVÄL maximi- som minimipunkter eller ska man visa att f saknar minst ENDERA av dem?

Saknar för båda antar jag. Fast jag fattar inte hur man ska fortsätta..

Tomten 2053
Postad: 10 jan 2023 10:18

Fortsätt med att göra teckenstudium och skissa upp kurvan. Beskriv sedan vad du ser. Därmed anser jag att det får duga. Det är problemförfattaren som gjort en bugg.

George04 73 – Fd. Medlem
Postad: 10 jan 2023 14:52
Tomten skrev:

Fortsätt med att göra teckenstudium och skissa upp kurvan. Beskriv sedan vad du ser. Därmed anser jag att det får duga. Det är problemförfattaren som gjort en bugg.

Kollade med min lärare, sa att man ska visa att antingen den saknas eller den andra. Ska göra teckentabell eftersom då k=16 så får jag en dubbelrot och den ska jag undersöka om det är maxi eller minimi. 

Tomten 2053
Postad: 10 jan 2023 15:33

Berätta vad du kommer fram till!

Laguna 32119
Postad: 10 jan 2023 15:35

eller om det är varken eller.

Svara
Close