Min och maxvärden på halvöppet intervall
Hej,
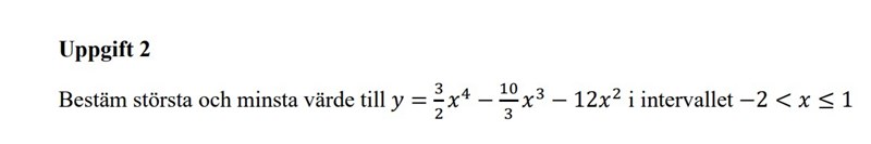
jag har en fråga angående denna uppgift:.jpg?width=800&upscale=false)
Jag vill hävda att funktionens minsta värde hittas vid f(1)=-(13+5/6) men att funktionen saknar ett största värde på intervallet.
f(0)=0 är ett lokalt maximum men det är inte funktionens högsta värde, som hittas i området nära f(-2).
Facit hävdar att det existerar ett största värde och att detta finnes i f(0)=0. Stämmer detta verkligen?
Länk till graf för den som vill titta
Det stämmer. Kolla på intervallet, ingår -2?
Nej, -2 ingår inte i intervallet men exempelvis -1.99 ingår och f(-1,99)>f(0), varför f(0) omöjligt kan vara funktionens högsta värde. Jag menar att det inte går att bestämma ett högsta värde inom intervallet. Varför skulle f(0) väljas bara för att det råkar ligga på en lokal extrempunkt även om det finns andra punkter som ger större värden?
Du har rött, facit har fel. Det finns inget största värde i intervallet.
Ok, tack för svar!
lagminator skrev:Nej, -2 ingår inte i intervallet men exempelvis -1.99 ingår och f(-1,99)>f(0), varför f(0) omöjligt kan vara funktionens högsta värde. Jag menar att det inte går att bestämma ett högsta värde inom intervallet. Varför skulle f(0) väljas bara för att det råkar ligga på en lokal extrempunkt även om det finns andra punkter som ger större värden?
Fattar. Jag kollade inte så noga. Tänkte att den hade ett nollställe i -2.