4
svar
140
visningar
Minimipunkt


Stämmer det?
Har du lurat dig själv nu? Det står x, inte 2.
Laguna skrev:Har du lurat dig själv nu? Det står x, inte 2.
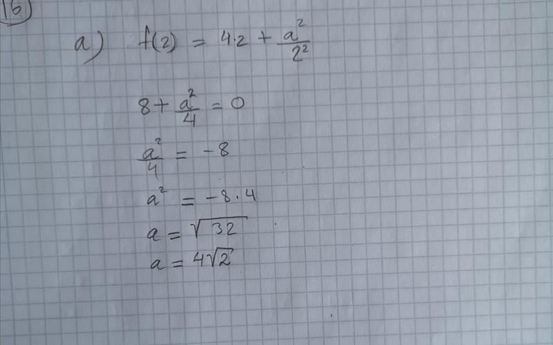
Det står ju då x =2
Du har bildat och löst ekvationen f(2) = 0, vilket svarar på frågan "vad ska a vara för att y ska vara noll när x är 2?". Men det var ju inte den du ville besvara. För att x=2 ska motsvara en minpunkt måste först och främst lutningen vara noll i den punkten, så det borde vara ekvationen f'(2) = 0 du vill lösa.
Du har bestämt värdet på a så att f(2) = 0, inte så att funktionen har en minimipunkt när x = 2. Vad är standardmetoden för att ta reda på extremvärden för en funktion?